Welcome to chemicalbook!
+1 (818) 612-2111
RFQ
Try our best to find the right business for you.
Do not miss inquiry messages Please log in to view all inquiry messages.

Welcome back!

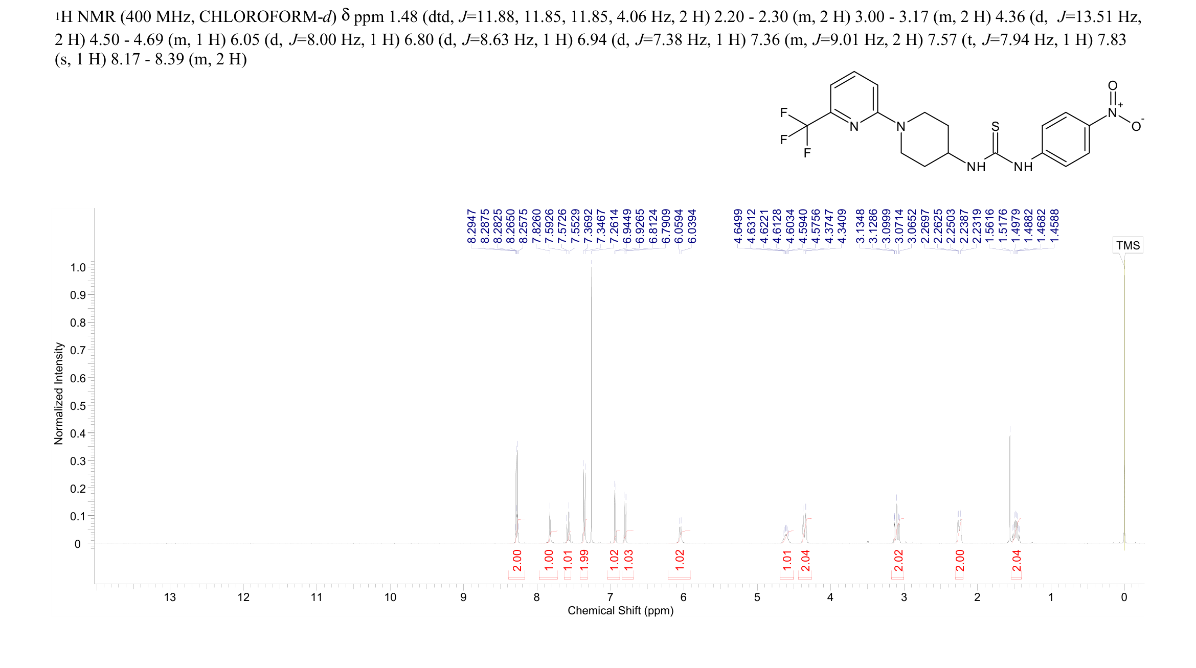
Back ChemicalBook Home>CAS DataBase List>2477651-10-6More Spectrum> Thiourea, N-(4-nitrophenyl)-N'-[1-[6-(trifluoromethyl)-2-pyridinyl]-4-piperidinyl]-(2477651-10-6) 1H NMR

2477651-10-6

Thiourea, N-(4-nitrophenyl)-N'-[1-[6-(trifluoromethyl)-2-pyridinyl]-4-piperidinyl]-(2477651-10-6) 1H NMR

Molecular FormulaC18H18F3N5O2S

Molecular Weight425.43

Thiourea, N-(4-nitrophenyl)-N'-[1-[6-(trifluoromethyl)-2-pyridinyl]-4-piperidinyl]-(2477651-10-6) 1H NMR Atlas of Related Products

×