Welcome to chemicalbook!
+1 (818) 612-2111
RFQ
Try our best to find the right business for you.
Do not miss inquiry messages Please log in to view all inquiry messages.

Welcome back!

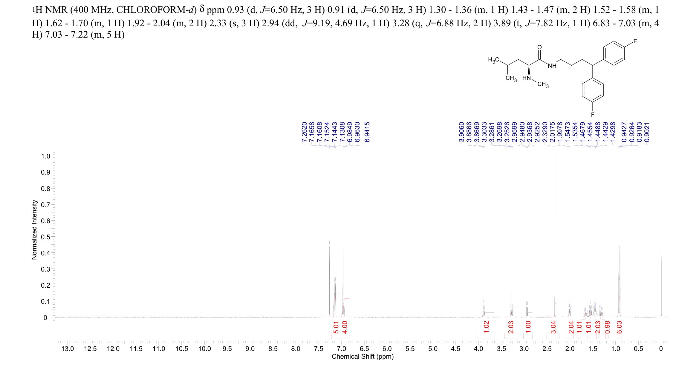
Back ChemicalBook Home>CAS DataBase List>248922-46-5More Spectrum> PD0176078(248922-46-5) 1H NMR

248922-46-5

PD0176078(248922-46-5) 1H NMR

Product NamePD0176078

CAS248922-46-5

Molecular FormulaC23H30F2N2O

Molecular Weight388.49

PD0176078(248922-46-5) 1H NMR Atlas of Related Products

×