Welcome to chemicalbook!
+1 (818) 612-2111
RFQ
Try our best to find the right business for you.
Do not miss inquiry messages Please log in to view all inquiry messages.

Welcome back!

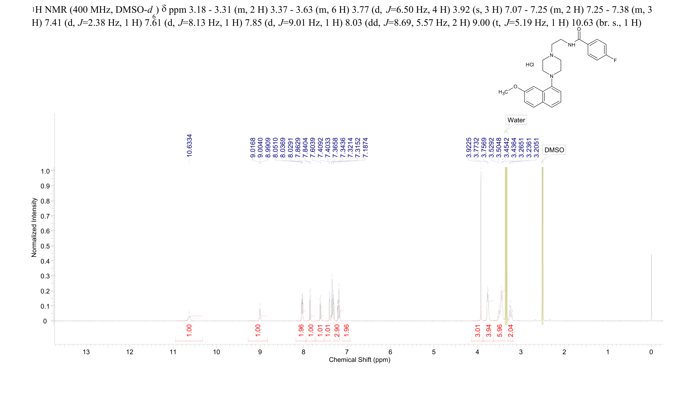
Back ChemicalBook Home>CAS DataBase List>286369-38-8More Spectrum> S 14506 hydrochloride(286369-38-8) 1H NMR

286369-38-8

S 14506 hydrochloride(286369-38-8) 1H NMR

Molecular FormulaC24H27ClFN3O2

Molecular Weight443.95

S 14506 hydrochloride(286369-38-8) 1H NMR Atlas of Related Products

×