Welcome to chemicalbook!
+1 (818) 612-2111
RFQ
Try our best to find the right business for you.
Do not miss inquiry messages Please log in to view all inquiry messages.

Welcome back!

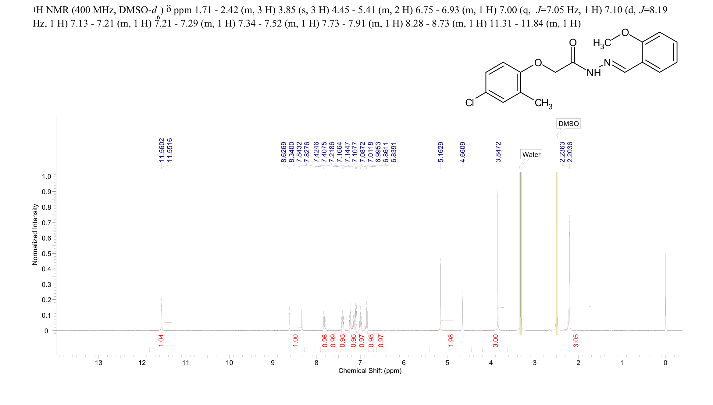
Back ChemicalBook Home>CAS DataBase List>356102-14-2More Spectrum> Ani9(356102-14-2) 1H NMR

356102-14-2

Ani9(356102-14-2) 1H NMR

Product NameAni9

CAS356102-14-2

Molecular FormulaC17H17ClN2O3

Molecular Weight332.78

Ani9(356102-14-2) 1H NMR Atlas of Related Products

×