Welcome to chemicalbook!
+1 (818) 612-2111
RFQ
Try our best to find the right business for you.
Do not miss inquiry messages Please log in to view all inquiry messages.

Welcome back!

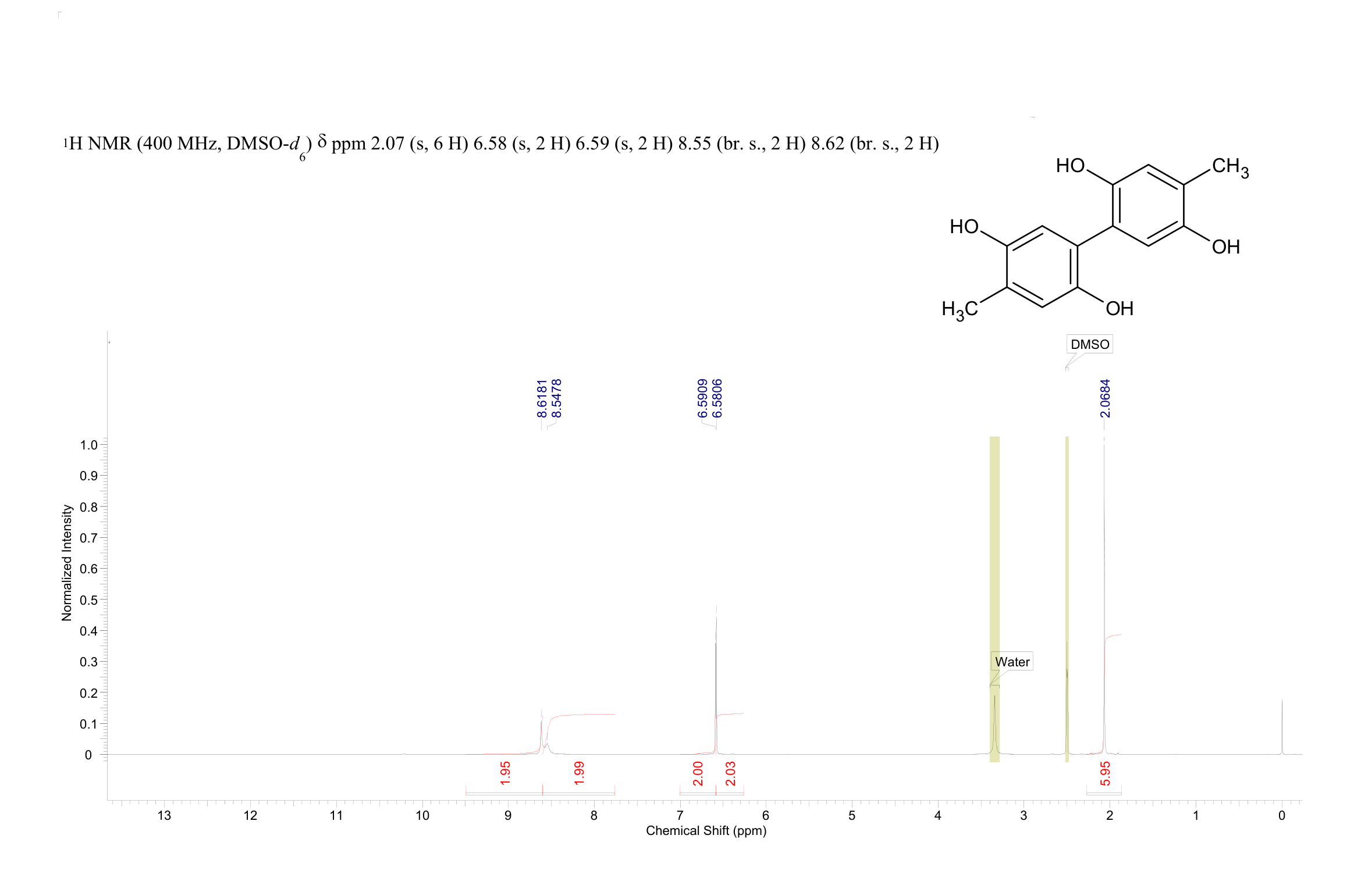
Back ChemicalBook Home>CAS DataBase List>4371-34-0More Spectrum> [1,1'-Biphenyl]-2,2',5,5'-tetrol, 4,4'-dimethyl-(4371-34-0) 1H NMR

4371-34-0

[1,1'-Biphenyl]-2,2',5,5'-tetrol, 4,4'-dimethyl-(4371-34-0) 1H NMR

Molecular FormulaC14H14O4

Molecular Weight246.26

[1,1'-Biphenyl]-2,2',5,5'-tetrol, 4,4'-dimethyl-(4371-34-0) 1H NMR Atlas of Related Products

×