Welcome to chemicalbook!
+1 (818) 612-2111
RFQ
Try our best to find the right business for you.
Do not miss inquiry messages Please log in to view all inquiry messages.

Welcome back!

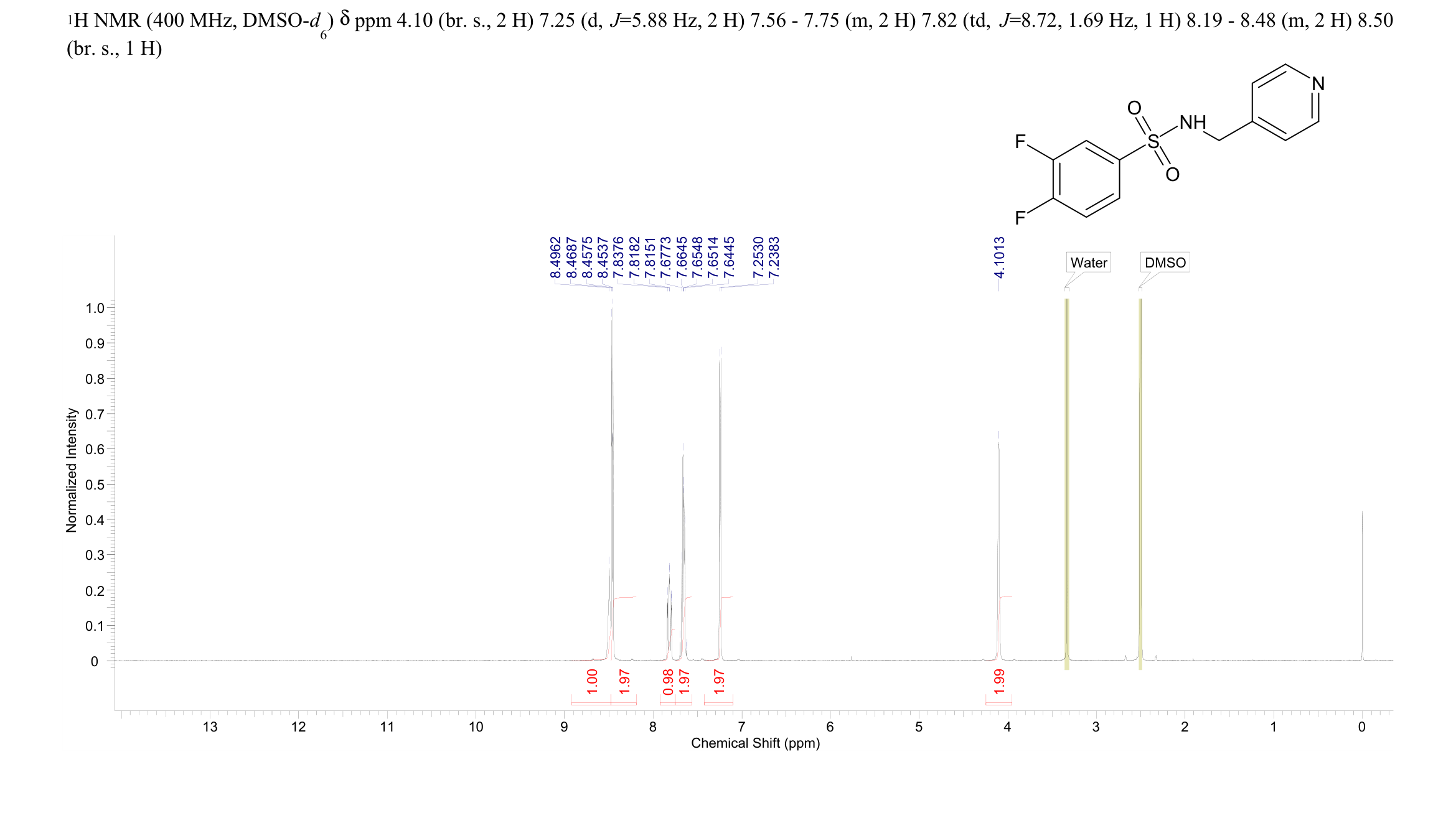
Back ChemicalBook Home>CAS DataBase List>736154-60-2More Spectrum> Benzenesulfonamide, 3,4-difluoro-N-(4-pyridinylmethyl)-(736154-60-2) 1H NMR

736154-60-2

Benzenesulfonamide, 3,4-difluoro-N-(4-pyridinylmethyl)-(736154-60-2) 1H NMR

Molecular FormulaC12H10F2N2O2S

Molecular Weight284.28

Benzenesulfonamide, 3,4-difluoro-N-(4-pyridinylmethyl)-(736154-60-2) 1H NMR Atlas of Related Products

×