产品名称:化合物GPR183
CAS:1241280-25-0
分子式:C19H19F3N2O2
分子量: 364.36
InChI:
InChIKey:
Smiles:
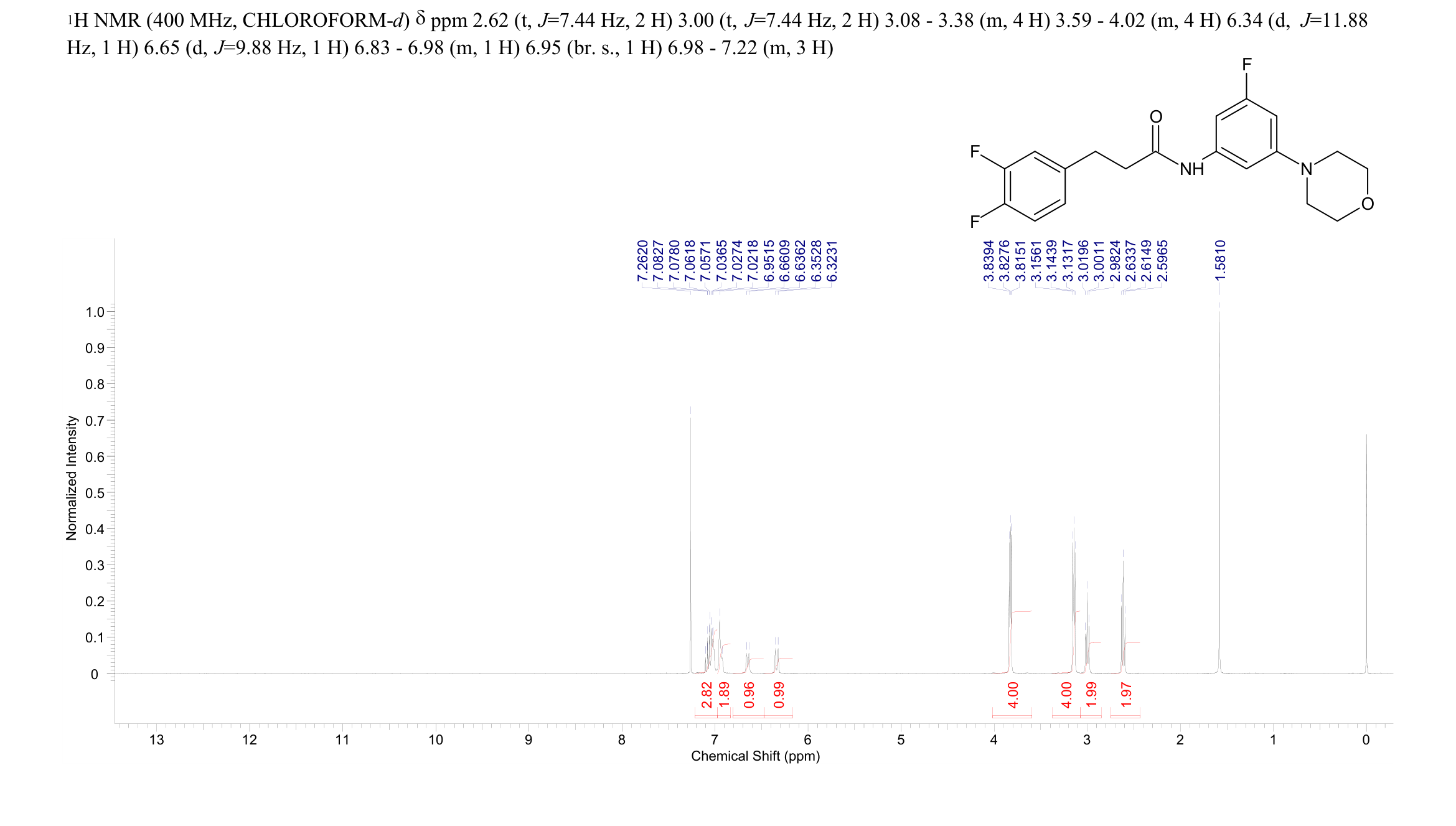
1HNMR
更多供应商
江苏艾康生物医药研发有限公司
上海立崎生物医学研究中心
南通全益生物科技有限公司
上海一飞生物科技有限公司
上海陶术生物科技股份有限公司
南京世洲生物科技有限公司
Nantong HI-FUTURE Biology Co., Ltd.
生工生物工程(上海)股份有限公司
化合物GPR183(1241280-25-0)核磁图(1HNMR)相关产品图谱