产品名称:4-Chloro-N-(naphthalen-1-ylmethyl)-5-(3-(piperazin-1-yl)phenoxy)thiophene-2-sulfonamide
CAS:1261576-81-1
分子式:C25H24ClN3O3S2
分子量: 514.06
InChI:
InChIKey:
Smiles:
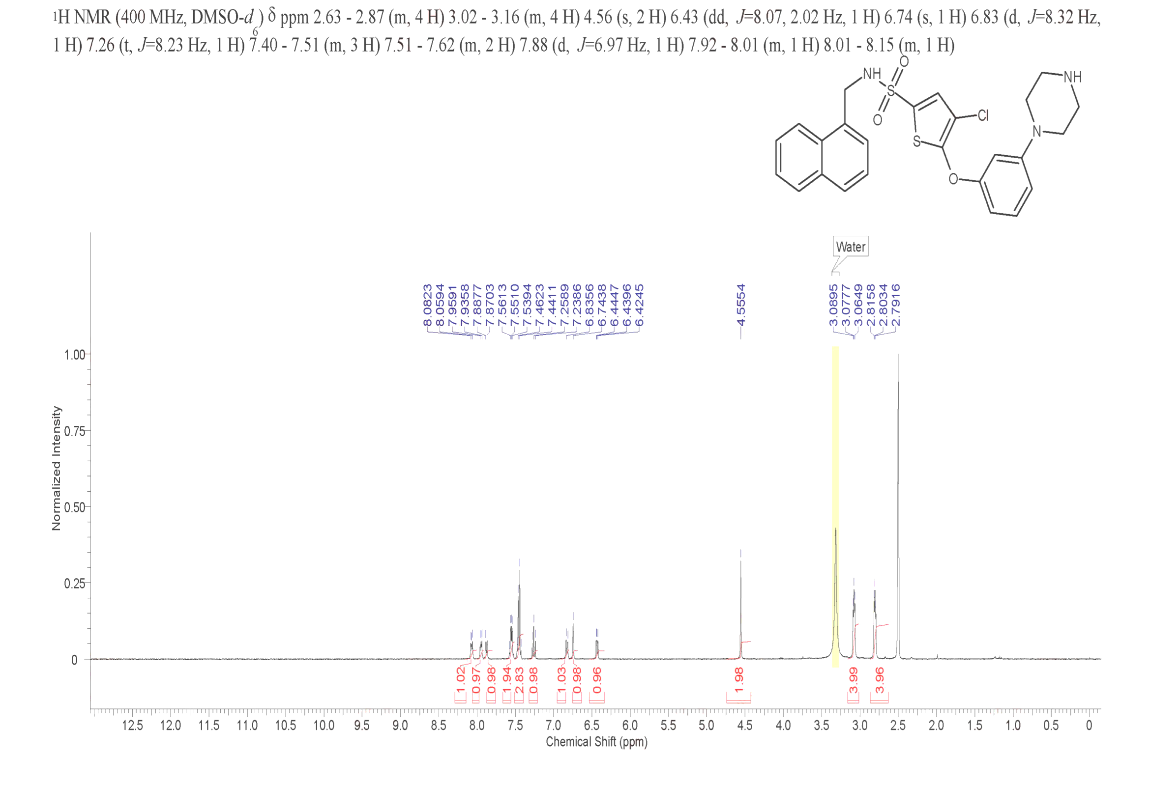
1HNMR
更多供应商
上海楼岚生物科技有限公司
药渡经纬信息科技(北京)有限公司
杭州枫林化工有限公司
西安莱茵生物科技有限公司
Novachemistry
ChemeGen 中国
常州辰鸿生物科技有限公司
Career Henan Chemica Co
安耐吉化学&3A(安徽泽升科技有限公司)
武汉沃格达生物科技有限公司
4-Chloro-N-(naphthalen-1-ylmethyl)-5-(3-(piperazin-1-yl)phenoxy)thiophene-2-sulfonamide(1261576-81-1)核磁图(1HNMR)相关产品图谱