产品名称:1H-Pyrrolo[2,3-b]pyridine-3-carboxamide, N-[3-(phenylmethyl)-2(3H)-thiazolylidene]-
CAS:1424635-83-5
分子式:C18H14N4OS
分子量: 334.39
InChI:
InChIKey:
Smiles:
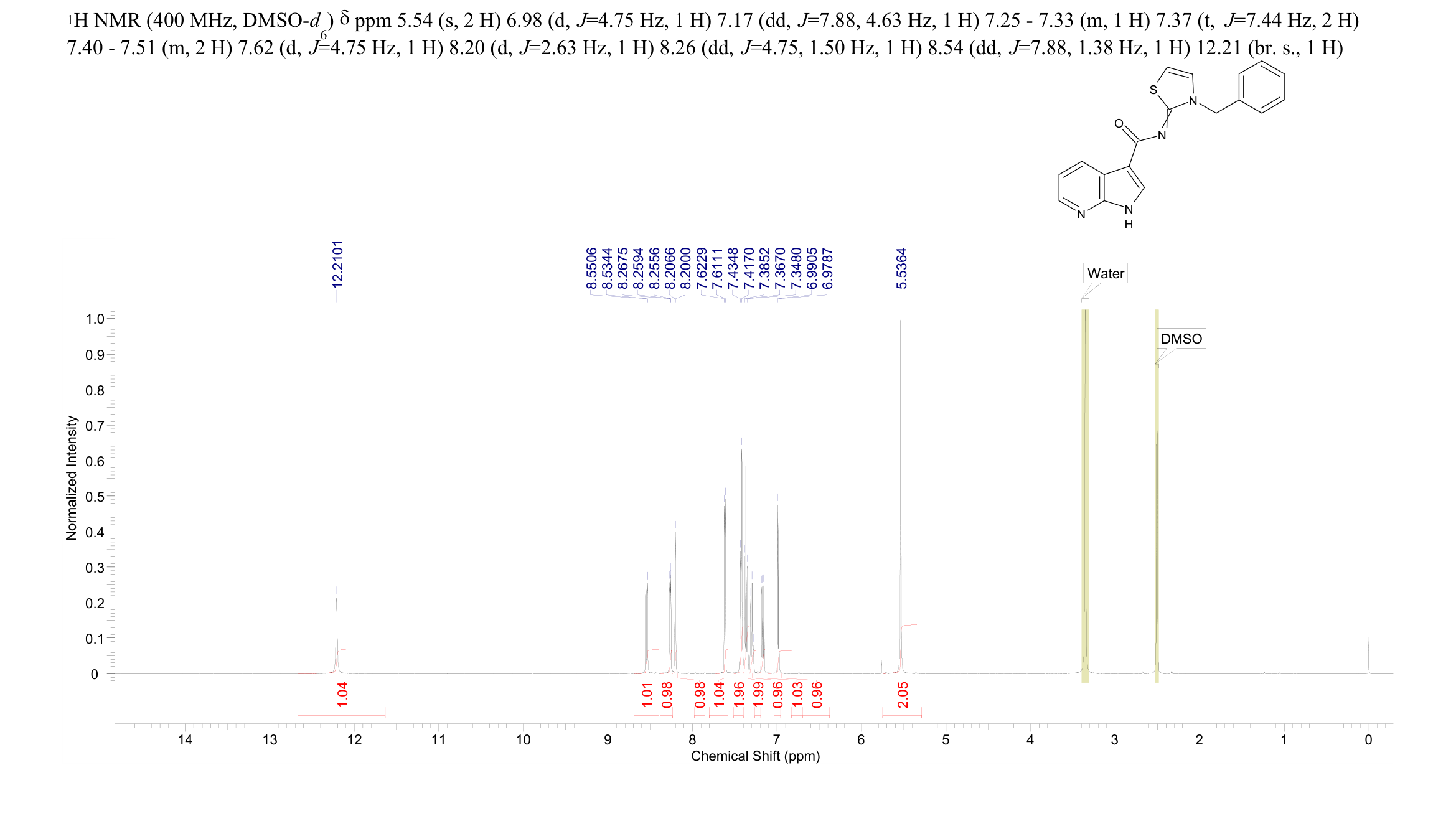
1HNMR
更多供应商
上海瀚香生物科技有限公司
上海楼岚生物科技有限公司
上海泽涵生物医药科技有限公司
滁州市科迈尔化工科技有限公司
ATK CHEMICAL COMPANY LIMITED
HANGZHOU LEAP CHEM CO., LTD.
上海陶术生物科技股份有限公司
北京索莱宝科技有限公司
天津普西唐生物医药科技有限公司
1H-Pyrrolo[2,3-b]pyridine-3-carboxamide, N-[3-(phenylmethyl)-2(3H)-thiazolylidene]-(1424635-83-5)核磁图(1HNMR)相关产品图谱