产品名称:BOZITINIB (PLB-1001)
CAS:1440964-89-5
分子式:C20H15F3N8
分子量: 424.38
InChI:
InChIKey:
Smiles:
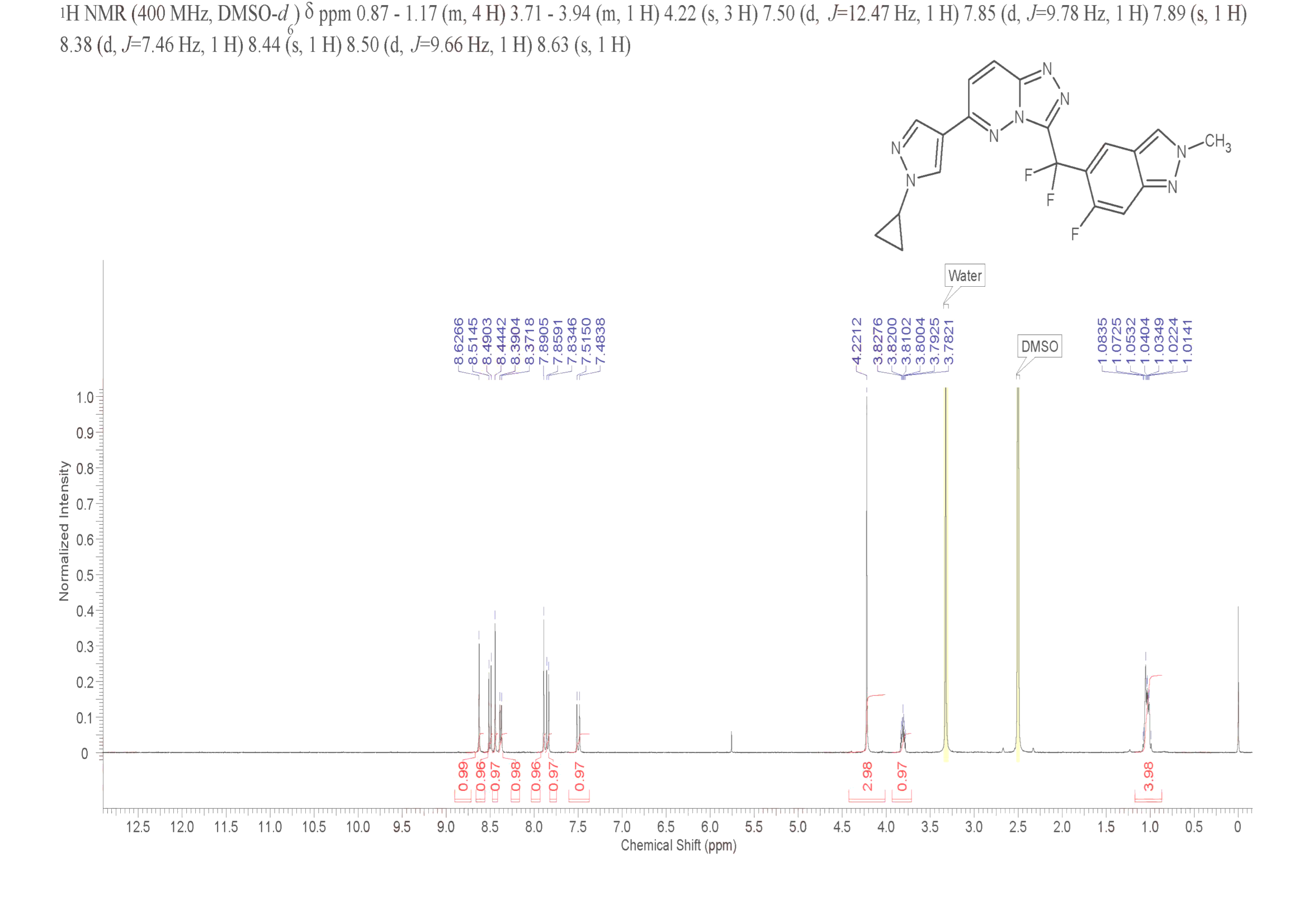
1HNMR
更多供应商
上海齐奥化工科技有限公司
上海楼岚生物科技有限公司
上海碧咸医药科技有限公司
成都新弘材料科技有限公司
ATK CHEMICAL COMPANY LIMITED
InvivoChem
ChemeGen 中国
HANGZHOU CLAP TECHNOLOGY CO.,LTD
Hefei TNJ Chemical Industry Co.,Ltd.
上海弘渠生物医药科技有限公司
BOZITINIB (PLB-1001)(1440964-89-5)核磁图(1HNMR)相关产品图谱