产品名称:化合物 UCB-5307
CAS:1515887-44-1
分子式:C22H21N3O
分子量: 343.43
InChI:
InChIKey:
Smiles:
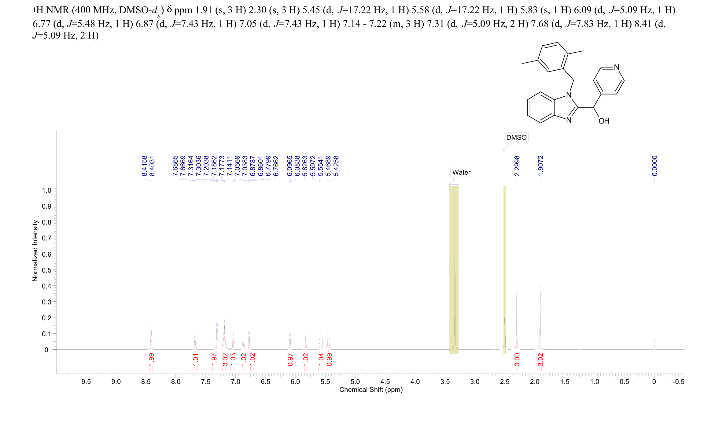
1HNMR
更多供应商
上海源叶生物科技有限公司
天津凯利奇生物科技有限公司
上海一飞生物科技有限公司
北京索莱宝科技有限公司
江苏艾康生物医药研发有限公司
上海毕得医药科技股份有限公司
生工生物工程(上海)股份有限公司
銳迪國際科技有限公司
上海陶术生物科技股份有限公司
广州佰得生物科技有限公司
化合物 UCB-5307(1515887-44-1)核磁图(1HNMR)相关产品图谱