产品名称:BRD5648
CAS:2056261-42-6
分子式:C20H23N3O
分子量: 321.42
InChI:
InChIKey:
Smiles:
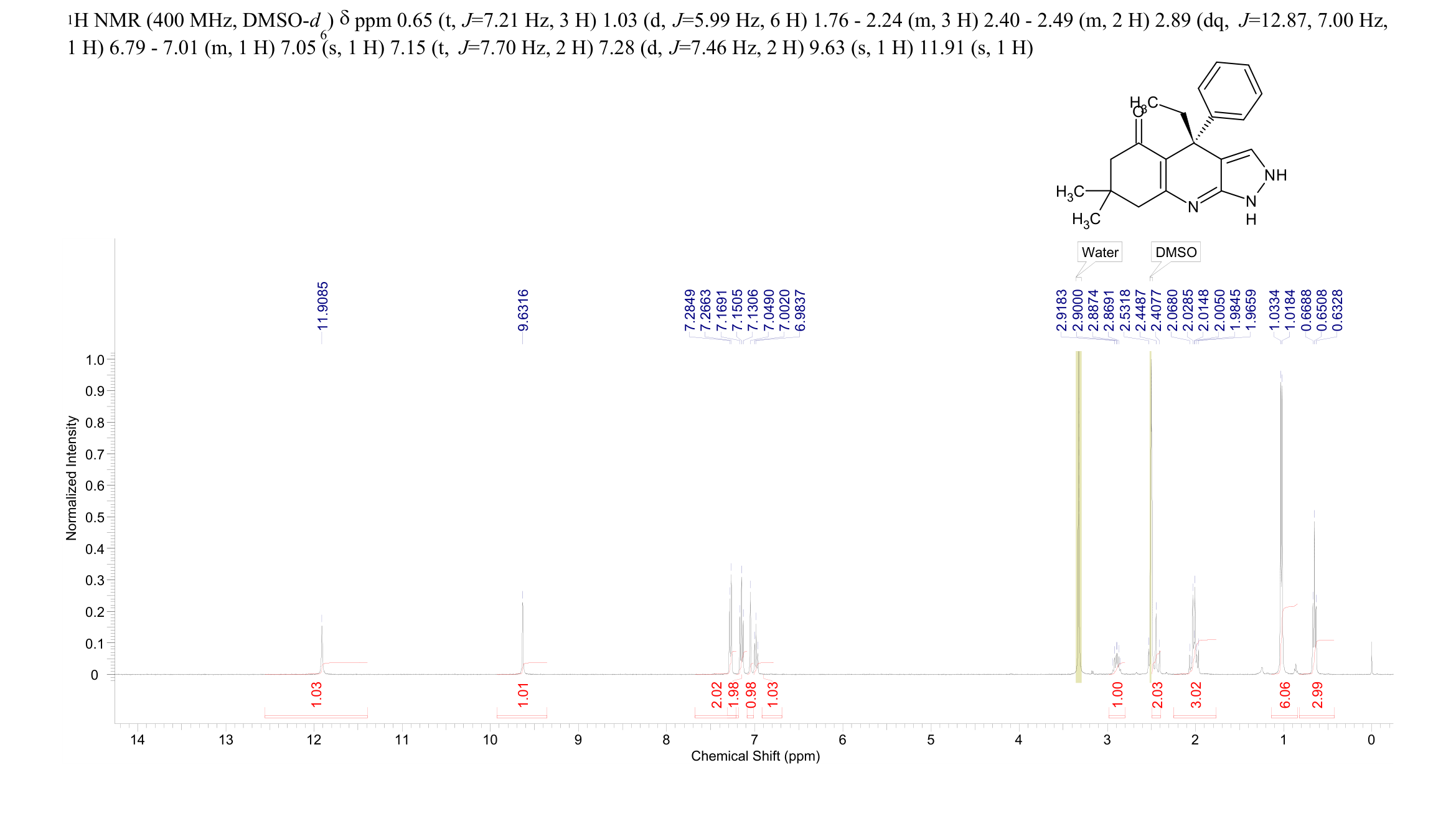
1HNMR
更多供应商
上海一飞生物科技有限公司
武汉创合化学有限公司
南通全益生物科技有限公司
ChemeGen 中国
上海陶术生物科技股份有限公司
南京世洲生物科技有限公司
Aladdin Scientific
Nantong HI-FUTURE Biology Co., Ltd.
生工生物工程(上海)股份有限公司
BRD5648(2056261-42-6)核磁图(1HNMR)相关产品图谱