产品名称:表白桦脂酸
CAS:38736-77-5
分子式:C30H48O3
分子量: 456.7
InChI:
InChIKey:
Smiles:
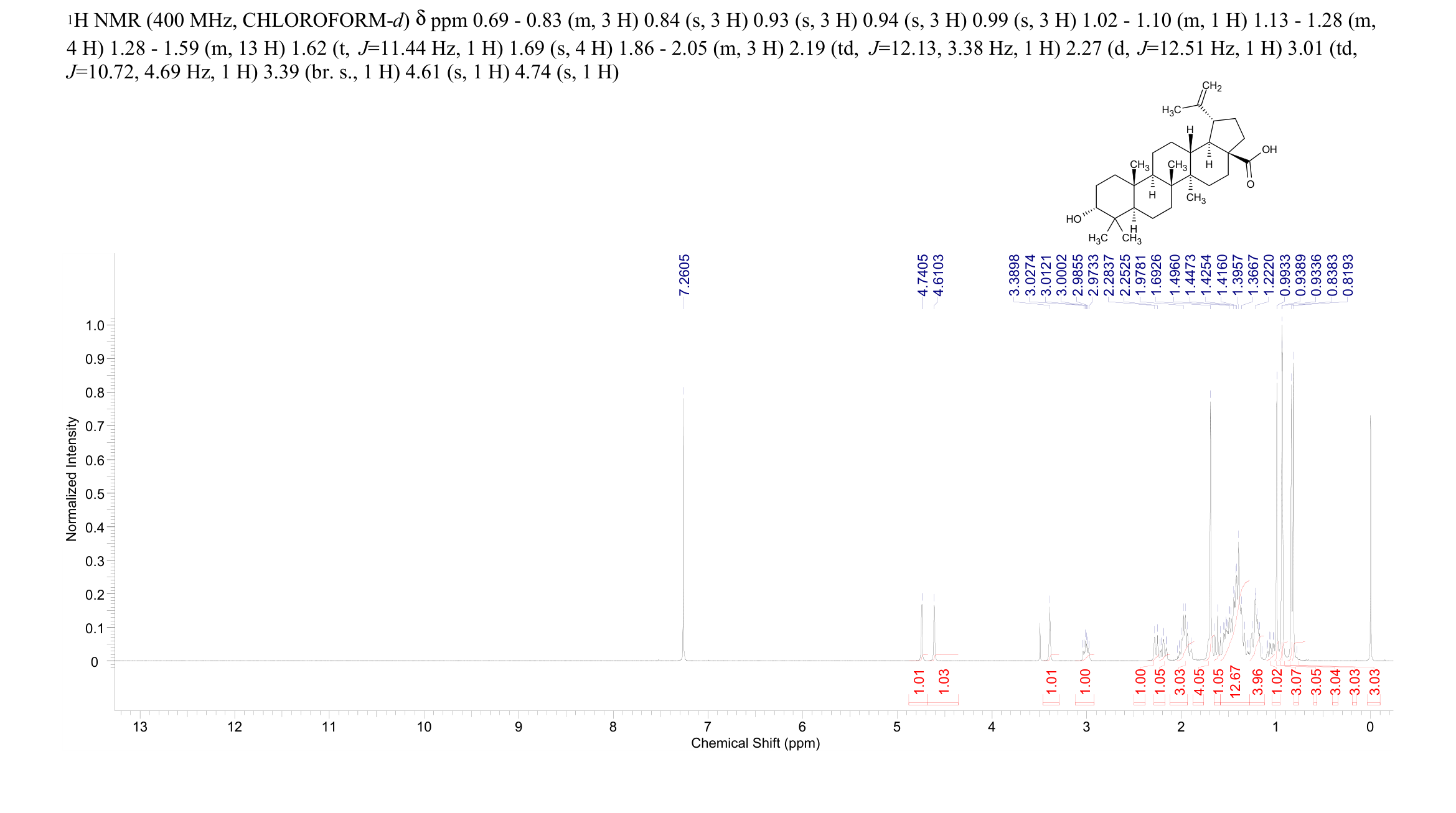
1HNMR
更多供应商
成都瑞芬思德丹生物科技有限公司 黄金产品
北京华美互利生物化工
上海如吉生物科技发展有限公司
成都锦然生物科技有限公司
上海倍卓生物科技有限公司
上海永叶生物科技有限公司
EMMX Biotechnology LLC
上海前衍生物科技有限公司
上海澄绍生物科技有限公司
山东小野化学股份有限公司
表白桦脂酸(38736-77-5)核磁图(1HNMR)相关产品图谱