ChemicalBook
English   Japanese   Germany   Korea
返回ChemicalBook首页>CAS数据库列表>4628-39-1更多图谱> 尿嘧啶-4-乙酸(4628-39-1)红外图谱(IR2)

4628-39-1

尿嘧啶-4-乙酸(4628-39-1)红外图谱(IR2)

产品名称:尿嘧啶-4-乙酸

CAS:4628-39-1

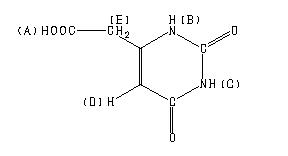
分子式:C6H6N2O4

分子量: 170.12

InChI:InChI=1S/C6H6N2O4/c9-4-1-3(2-5(10)11)7-6(12)8-4/h1H,2H2,(H,10,11)(H2,7,8,9,12)

InChIKey: NQAUNZZEYKWTHM-UHFFFAOYSA-N

Smiles:C1(=O)NC(=O)C=C(CC(O)=O)N1

400 MHz in CDCl3

  • 图谱

    1H NMR 399.65 MHz
    C6 H6 N2 O4 0.038 g : 0.5 ml DMSO-d6
    2,6-dihydroxy-4-pyrimidineacetic acid
    ChemicalStructure
        Assign.     Shift(ppm)
    A 12. B *1 11.015 C *1 10.884 D 5.464 E 3.405

         Hz     ppm     Int.
    

       4402.53  11.016    218
       4349.96  10.885    237
       2184.06   5.465    401
       1361.17   3.406   1000
    

KBr disc

  • 图谱

nujol mull

  • 图谱

×