8-羟基-7-丙基喹啉(58327-60-9)红外图谱(IR1)
InChI:InChI=1S/C12H13NO/c1-2-4-10-7-6-9-5-3-8-13-11(9)12(10)14/h3,5-8,14H,2,4H2,1H3
InChIKey: OKPSVYHYNXVYED-UHFFFAOYSA-N
Smiles:N1C2C(=CC=C(CCC)C=2O)C=CC=1
-

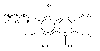
Assign. Shift(ppm)
A 8.73
B 8.08
C 7.34
D *1 7.33
E *1 7.27
F 2.83
G 1.74
J 1.01
Spectral Code: 1H NMR : 90 MHz in CDCl3
-

ppm Int. Assign.
149.38 522 1
147.70 745 2
138.17 404 3
135.89 851 4
129.84 894 5
126.93 590 6
124.60 621 7
120.67 925 8
117.06 888 9
32.05 1000 10
23.17 888 11
14.05 882 12
Spectral Code: 13C NMR : in CDCl3
-

Spectral Code: IR : liquid film