产品名称:N-[2-[[2-[(2-HYDROXYETHYL)AMINO]ETHYL]AMINO]-5-QUINOLINYL]-2-TRICYCLO[3.3.1.13,7]DEC-1-YLACETAMIDE DIHYDROCHLORIDE
CAS:607378-18-7
分子式:C25H34N4O2.2HCl
分子量: 459.03
InChI:
InChIKey:
Smiles:
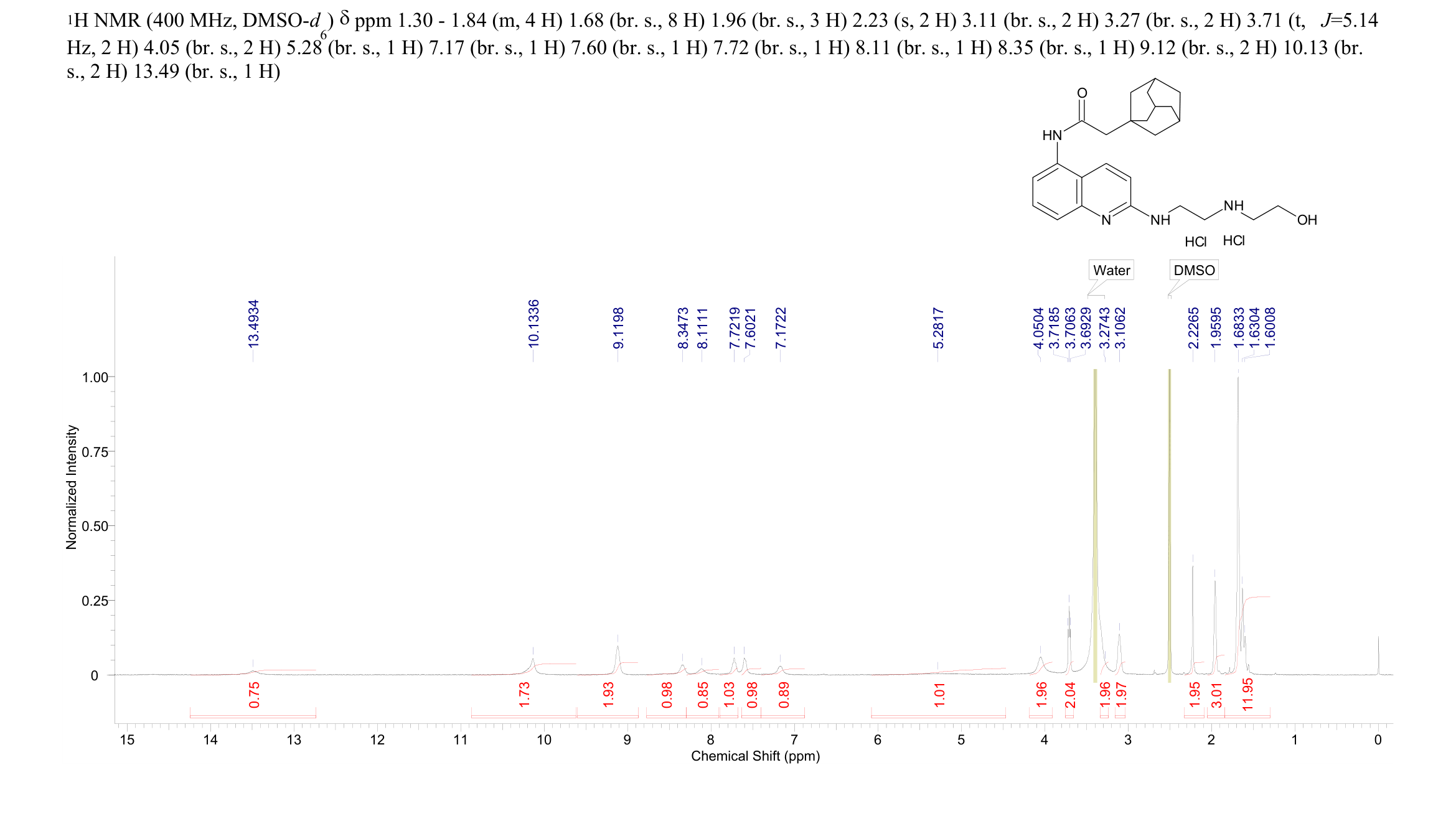
1HNMR
更多供应商
南京艾尔莎生物科技有限公司 黄金产品
武汉易泰科技有限公司上海分公司
EMMX Biotechnology LLC
济南药研药物化学有限公司
上海畅禹和医药科技有限公司
范德(北京)生物科技有限责任公司
南京美韬医药科技有限公司
湖北科乐精细化工有限公司
MedBio脉铂医药
天津普西唐生物医药科技有限公司
N-[2-[[2-[(2-HYDROXYETHYL)AMINO]ETHYL]AMINO]-5-QUINOLINYL]-2-TRICYCLO[3.3.1.13,7]DEC-1-YLACETAMIDE DIHYDROCHLORIDE(607378-18-7)核磁图(1HNMR)相关产品图谱