产品名称:2'-(4-乙氧基苯基)-5-(4-甲基-1-哌嗪基)-2,5'-联-1H-苯并咪唑三盐酸盐
CAS:875756-97-1
分子式:C27H29ClN6O
分子量: 489.02
InChI:
InChIKey:
Smiles:
MS
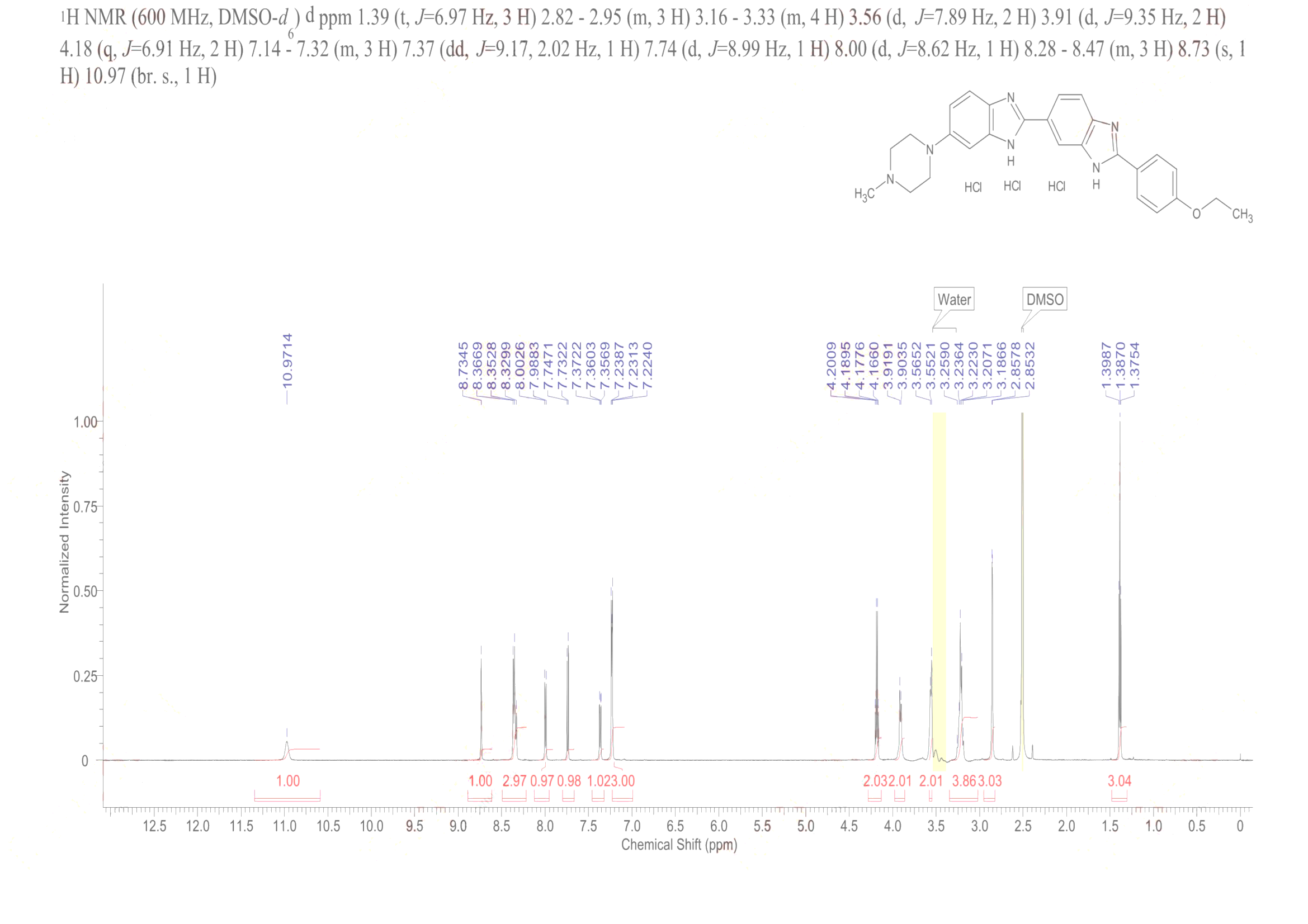
1HNMR
更多供应商
菏泽开发区创蠡化工科技有限公司 黄金产品
上海皓元医药股份有限公司
MedChemexpress LLC
杭州枫林化工有限公司
广州市齐云生物技术有限公司
上海源叶生物科技有限公司
Musechem
沧州品拓生物科技有限公司
上海博拓生物科技有限公司
ApexBio技术
2'-(4-乙氧基苯基)-5-(4-甲基-1-哌嗪基)-2,5'-联-1H-苯并咪唑三盐酸盐(875756-97-1)质谱(MS)相关产品图谱