暂无可领优惠券
主营产品:EDC.HCl, DIC, HATU,叠氮磷酸二苯酯等
客服热线:021-65566949 13901795941
14YR企业会员
1-乙基-(3-二甲基氨基丙基)碳二亚胺盐酸盐
¥100元
更新时间:2025/10/22
2,4,6-三异丙基苯磺酰咪唑
询价
4-(4,6-二甲氧基三嗪)-4-甲基吗啉盐酸盐
¥216元
N,N,N',N'-四甲基-O-(N-琥珀酸亚胺基)脲六氟磷酸盐
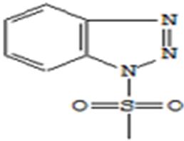
1-甲磺酰苯并三唑
N-琥珀酰亚胺基-N-甲基氨基甲酸酯
¥450元
1-(3-二甲氨基丙基)-3-乙基碳二亚胺
¥80元
N,N'-二(2,6-二异丙基苯基)碳二亚胺
N,O-二甲基羟胺盐酸盐
¥70元
O-苄基羟胺盐酸盐
N,N'-二异丙基碳二亚胺
¥290元
2-肟氰乙酸乙酯
¥350元
COMU
4-(4,6-二甲氧基三嗪-2-基)-4-甲基吗啉六氟磷酸盐(MMHM)[1129971-87-4],98%
1-(均三甲苯基-2-砜基)-3-硝基-1,2,4-三唑(MSNT)
4,5-二氰基咪唑
商家暂时不对外公布