暂无可领优惠券
主营产品:
客服热线:
普通会员
4-羟基-α-氨基苯乙酮盐酸盐
询价
更新时间:2013/03/14
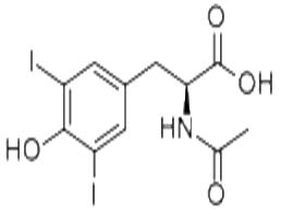
N-乙酰基-3,5-二碘-L-酪氨酸
托卡朋
更新时间:2019/10/30
4-氰基苯肼.盐酸盐
更新时间:2020/06/04
4-(3-氟苄氧基)苯甲醛
¥1元
更新时间:2021/11/30
(+)-O-乙酰基-L-扁桃酸
6-胍基己酸
瑞格酸;3-乙氧基-4-乙氧羰基苯乙酸
(S)-3-甲基-1-[2-(1-哌啶基)苯基]丁胺.N-乙酰-L-谷氨酸盐
(-)-O-乙酰基-D-扁桃酸
4-溴苯丙酸
沙芬酰胺
更新时间:2021/12/09
4-溴苯乙酰胺
更新时间:2022/08/27
2-(4-氯苯基)-乙胺盐酸盐
更新时间:2023/05/22
4,6-二羟基-5-氟嘧啶
更新时间:2023/11/21
3-碘-L-酪氨
更新时间:2024/01/30
商家暂时不对外公布