关键词:cRGD-PEG-N3,cRGD-PEG-Azide
产品介绍:
cRGD-PEG-N3是由环状精氨酸-甘氨酸-天冬氨酸(cRGD)序列、聚乙二醇(PEG)链以及叠氮基(-N3)官能团组成。这种独特的组合不仅利用了cRGD序列的高亲和力特性,使其能够高效识别并结合特定目标,还通过PEG链的引入,显著提升了分子的灵活性和水溶性。
cRGD-PEG-N3可以与其他含有炔基的分子进行共价连接,实现多功能化修饰。利用叠氮基官能团与含有炔基的荧光染料或放射性同位素进行点击化学反应,可以将cRGD-PEG-N3标记为生物探针。cRGD-PEG-N3可用于表面改性或功能化修饰,如将其接枝到材料表面以提高细胞的黏附和增殖能力。
相关参数:
英文名称:cRGD-PEG-N3,cRGD-PEG-Azide
中文名称:cRGD靶向环肽-聚乙二醇-叠氮,cRGD靶向环肽-PEG-叠氮
分子量:0.4k,0.6k,0.8k,1k,2k,5k,10k,20k,50k(可按需定制)
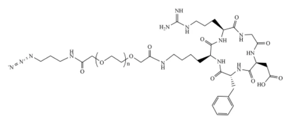
结构式:

外观:固体/粉末
纯度:95%,详情可在线咨询
发货:订单截止时间为每日16点整,部分城市可到17点整。
注意事项:在有粉尘生成的地方,提供合适的排风设备。不要让产物进入下水道。本品仅供科研用途,不作为其它用途。
保存建议: 需要存储在-20°C,避光,避湿的环境。取用一定要干燥,避免反复冻融。

同类型相关试剂:
N3-PEG-CY5
Azide-PEG-CY5
N3-PEG-Cyanine3.5
Azide-PEG-Cyanine3.5
叠氮-聚乙二醇-花青素Cy5
N3-PEG-CY7
Azide-PEG-CY7
N3-PEG-Cyanine7
Azide-PEG-Cyanine7
叠氮-聚乙二醇-花青素Cy7
N3-PEG-CY7.5
Azide-PEG-CY7.5
N3-PEG-Cyanine7.5
Azide-PEG-Cyanine7.5
叠氮-聚乙二醇-花青素Cy7.5