关键词:DSPE-PEG-DOTA,Phospholipids-PEG-DOTA
产品介绍:
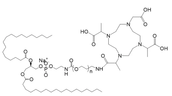
DOTA-PEG-DSPE 由螯合剂 DOTA、亲水性聚乙二醇(PEG)和疏水性磷脂 DSPE 构成,结合了金属离子螯合、长循环修饰和脂质体嵌入三大功能。DOTA即1,4,7,10-四乙酰三胺基醇或1,4,7,10-四乙酸-1,4,7,10-四氮杂十二烷,是一种大环配体或大环螯合剂。DOTA具有多个羧基和四氮杂环结构,能够与多种金属离子(如钆、镥等)形成稳定的螯合物,这种特性使其在生物医学领域有着广泛的应用。
相关参数:
中文名称:二硬脂酰基磷脂酰乙醇胺-聚乙二醇-大环配体,二硬脂酰基磷脂酰乙醇胺-PEG-大环配体
英文名称:DSPE-PEG-DOTA,Phospholipids-PEG-DOTA
分子量:0.4k,0.6k,0.8k,1k,2k,5k,10k,20k,50k(可按需定制)
结构式:

外观:固体/粉末
纯度:95%,详情可在线咨询
发货:订单截止时间为每日16点整,部分城市可到17点整。
注意事项:在有粉尘生成的地方,提供合适的排风设备。不要让产物进入下水道。本品仅供科研用途,不作为其它用途。
保存建议: 需要存储在-20°C,避光,避湿的环境。取用一定要干燥,避免反复冻融。

同类型相关试剂:
DSPE-PEG-NHS
磷脂聚乙二醇活性酯
DSPE-PEG-COOH
磷脂聚乙二醇羧基
DSPE-PEG-SH
磷脂聚乙二醇巯基
DSPE-PEG-SPDP
磷脂聚乙二醇巯基吡啶
DSPE-PEG-N3
磷脂聚乙二醇叠氮
DSPE-PEG-MAL
磷脂聚乙二醇马来酰亚胺
上述信息均由西安凯新生物科技的小编小兮所整理