关键词:DSPE-PEG-Glucose,Phospholipids-PEG-Glucose
产品介绍:
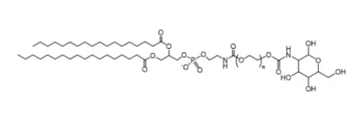
DSPE-PEG-Glucose 是一种由三部分组成的功能化两亲性分子,分别为磷脂(DSPE)、聚乙二醇(PEG)和葡萄糖(Glucose)。其中,DSPE 是一种具有双长链结构的饱和磷脂,能够稳定嵌入脂质体或脂双层中,提供良好的膜融合与包载药物能力;PEG 是一条柔性亲水链,连接脂质与葡萄糖,具有良好的空间位阻效应,可以显著延长脂质体在血液循环中的半衰期,避免被免疫系统快速清除。葡萄糖一种简单的单糖,是许多复杂碳水化合物的基本构建块,在DSPE-PEG-Glucose中,葡萄糖部分用于提高分子的靶向性。
相关参数:
中文名称:二硬脂酰基磷脂酰乙醇胺-聚乙二醇-葡萄糖
英文名称:DSPE-PEG-Glucose,Phospholipids-PEG-Glucose
分子量:0.4k,0.6k,0.8k,1k,2k,5k,10k,20k,50k(可按需定制)
结构式:

外观:固体/粉末
纯度:95%,详情可在线咨询
发货:订单截止时间为每日16点整,部分城市可到17点整。
注意事项:在有粉尘生成的地方,提供合适的排风设备。不要让产物进入下水道。本品仅供科研用途,不作为其它用途。
保存建议: 需要存储在-20°C,避光,避湿的环境。取用一定要干燥,避免反复冻融。

同类型相关试剂:
DSPE-PEG-Mannose
磷脂聚乙二醇甘露糖
DSPE-PEG-Galactose
磷脂聚乙二醇半乳糖
DSPE-PEG-Heparin
磷脂聚乙二醇甘露糖
DSPE-PEG-MAL
磷脂聚乙二醇马来酰亚胺
DSPE-PEG-Alkyne
磷脂聚乙二醇炔基
DSPE-PEG-Silane
磷脂聚乙二醇硅烷