产品属性:
产品名称 | 英文名称 | CAS号 | 型号 |
(+)松脂素-β-D-吡喃葡萄糖苷 | (+)-Piresil-4-O-beta-D-glucopyraside | 69251-96-3 | EY-8869B |
商品介绍:
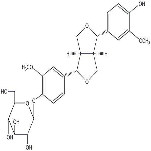
产品名称:(+)松脂素-β-D-吡喃葡萄糖苷
英文名: (+)-Piresil-4-O-beta-D-glucopyraside
英文别名: Pinoresinol 4-O-glucoside
型号:EY-8869B
CAS登录号: 69251-96-3
分子式: C26H32O11
分子量: 520.53
分子结构:

外观: 白色粉末或针晶
规格: 20mg/支
纯度: HPLC≥98%
用途: 用于含量测定/鉴定/药理实验等。
提取来源: 连翘(Forsythia Suspensa)果实
溶解性: 溶于甲醇
药理药效: 保肝,抗病毒等
贮存条件: 4℃冷藏、密封、避光
有效期: 2年
公司正在促销的相关产品:
Mouse17-Hydroxyprogesterone,17-OHPELISA试剂盒小鼠17羟孕同(17-OHP)ELISA试剂盒规格:96T/48T 103548-82-9石杉碱乙品牌 Huperzine B
小鼠脂解激活脂蛋白受体(LSR)ELISA试剂盒 ,英文名: LSR ELISA Kit 476-28-8石蒜碱规格 Lycorine
犬白细胞分化抗原6(CD6)ELISA检测试剂盒Canineclusterofdiffereiation6,CD6ELISAKit 96T/48T 7084-24-4矢车菊素-3-O-葡萄糖苷厂家 Cyanidin-3-O-glucoside chloride
犬前列腺素F2α(PGF2α)试剂盒 Canine Prostaglandin F2α,PGF2α ELISA Kit 6155-35-7鼠李糖说明书 L-Rhamnose monohydrate
英文名称HumanacetylcholinereceptoraibodyELISAKit人乙酰胆碱受体抗体(AChRab)ELISA试剂盒规格:96T/48T 5957--80-2鼠尾草酚品牌 Carnosol
右旋酮洛芬氨丁三醇(标准品)(S)-Ketoprofen trometamol质量规格:含量测定 小鼠血管内皮细胞生长因子(VEGF)ELISA检测试剂盒MouseVascularEndothelialcellGrowthFactor,VEGFELISAKIT 96T/48T ELISAKitsIgA小鼠分泌型球蛋白A规格:48T/96T
植物凝胶(Sigma)Phytagel质量规格:进分;SigmaP8169 人高香草酸(HVA)试剂盒 Human Homovanillic ,HVA ELISA Kit Human6-keto-prostaglandinF1a,6-K-PGF1aELISAKit人6同前列腺素F1a(6-keto-PGF1a)ELISA试剂盒规格:96T/48T
右旋酮洛芬(S)-(+)-Ketoprofen质量规格:>98.5% RatgranzymesB,Gzms-BELISAKit大鼠颗粒酶B(Gzms-B)ELISA试剂盒规格:96T/48T 人抗核因子抗体(ANF)ELISA 试剂盒 96T/48T 试剂盒 组装/原装
甲地孕酮(标准品)Megestrol base质量规格:HPLC>98%,标准品 BAD蛋白共沉淀分析试剂盒5 小鼠胶原交联(PYD)试剂盒 Mouse pyridinoline,PYD ELISA Kit
盐酸去氢骆驼蓬碱(标准品)质量规格:HPLC≥98%,标准品Harmine ELISAKitPIAb-IgG/IgM人1脂酰肌醇抗体IgG/IgM规格:48T/96T 大鼠5羟二十碳四烯酸(5-HETE)试剂盒 Rat 5-hydroxyeicosateaenoic ,5-HETE ELISA Kit
抗蛋白酶(进口)质量规格:美国进口Antipain di 小鼠C-型尿肽(CNP)ELISA试剂盒 ,英文名: CNP ELISA Kit CLIAKitforSam(Humansolubleadhesionmolecules)ELISAKit人可溶性粘附分子规格:48T/96T
D-岩藻糖质量规格:>98%,日本进口原装D-(+)-FUCOSE 人骨特异性碱性1酸酶B(ALP-B)ELISA检测试剂盒HumanBone-specificAlkphaseB,ALP-BELISAKit 96T/48T 石蜡切片胶原纤维(MASSON)染色试剂盒50/100
N-乙酰-DL-丝氨酸质量规格:>98%,BRN-Acetyl-DL-Serine 大鼠肝脏型脂肪酸结合蛋白(L-FABP)试剂盒 Rat liver type fatty binding protein,L-FABP ELISA Kit ELISAKitMLC人肌球蛋白轻链规格:48T/96T
注意事项:该产品仅供科研实验使用,未经允许不得用于其它用途!以实际收货产品说明书为准,网站说明书仅供参考。
关键字: (+)松脂素-β-D-吡喃葡萄糖苷;(+)-Piresil-4-O-beta;69251-96-3;C26H32O11;520.53;
上海一研生物科技有限公司Shanghai yiyan bio-technology Co. Ltd.主要从事免疫学、分子生物学和常规生化试剂等为一体的科研产品销售企业,公司自成立以来,秉承""全心全意服务于科研工作者""的企业理念,立足生物科技领域,运用生物技术和科研试剂,发展现代生物科技,为各类大中小医院及其它医疗机构、高等院校、科研院所、企事业单位提供优质的产品,服务生物科技领域的科学研究人员。
公司具有对普通货物、冷藏及冷冻仓库的存储、包装及运输能力。
公司将始终坚持信誉立业、以人为本、质量保证、诚信服务的宗旨,不断拼搏,开拓进取,与各界朋友携手共创美好未来。