Product Name:Peptide YY (PYY)
Synonyms:人源肽 YY
CAS No.:118997-30-1
Catalog No.:GT-XL0025
Brand:Go Top peptide(杭州固拓)
Description:Peptide YY简称 PYY,一种 36个氨基酸的肠道激素,餐后由肠道 L 细胞分泌,通过激动 NPY Y₂ 受体抑制食欲,增加饱腹感,降低胰液及碳酸氢盐输出,调节消化,常用于用于肥胖、代谢综合征、胃肠动力学等机制研究。
Peptide YY is abbreviated as PYY, a 36-amino acid intestinal hormone, secreted by intestinal L cells after meals, inhibiting appetite, increasing satiety, reducing pancreatic juice and bicarbonate output, regulating digestion, and is often used in the study of obesity, metabolic syndrome, gastrointestinal dynamics and other mechanisms.
Purity (HPLC) ≥98.0%
Single impurity≤2%
Peptide content≥75.0%
Amino Acid Composition≤±15%
Bacterial Endotoxins≤50EU/mg
Solubility:H2O/DMSO
Vacuum-packed with aluminum foil bag or transparent bag.Various weights can be packed according to your requirements.
Storage:Cool dry place( Store at -20°C, away from the light)
Remark:For Research Use Only. Not for human use.
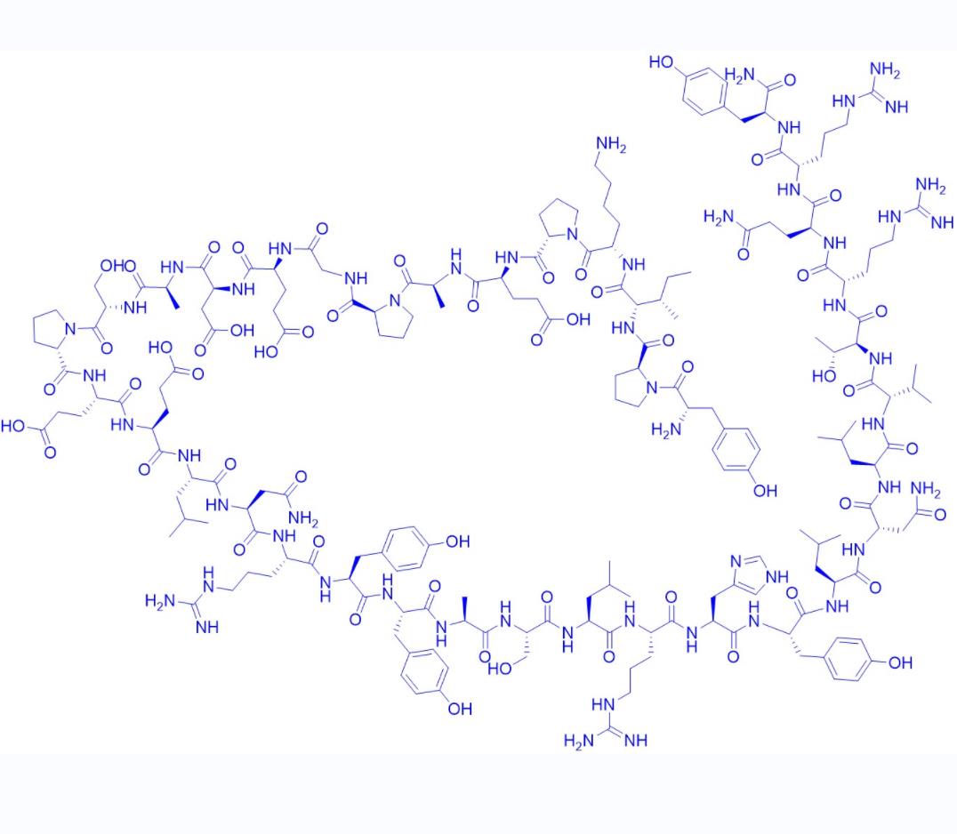
Sequence(1-letter code) | YPIKPEAPGEDASPEELNRYYASLRHYLNLVTRQRY-NH2 |
Sequence(3-letter code) | H-Tyr-Pro-Ile-Lys-Pro-Glu-Ala-Pro-Gly-Glu-Asp-Ala-Ser-Pro-Glu-Glu-Leu-Asn-Arg-Tyr-Tyr-Ala-Ser-Leu-Arg-His-Tyr-Leu-Asn-Leu-Val-Thr-Arg-Gln-Arg-Tyr-NH2 |
Peptide Structure |  |
Molecular Formula | C194H295N55O57 |
Molecular Weight | 4309.74 |
申明:产品仅供科研使用,不得用于人体。
订购联系方式:
手机: +86-15572296305 肖经理(同微信号)
QQ: 2080293014
邮箱:sales4@gotopbio.com
关键字: 118997-30-1;胃肠激素;Peptide YY (PYY);多肽;多肽合成;
杭州固拓生物科技有限公司是一家专业从事多肽以及相关衍生物研发和生产的国家高新技术企业。公司主要从事多肽原料药中间体,化妆品多肽、定制多肽等的研发和生产,以及相关的HPLC纯化服务、生物检测服务;同时也致力于保护氨基酸、蛋白、小分子化学、荧光染料、糖类衍生物、核酸,抗体、医药中间体等产品的开发。
目前实验室面积2000平方,多条完善的多肽生产线, 有数台大型的多肽合成设备,HPLC分析和制备设备,并配有GMP洁净车间。目前公司有成熟的多肽产品40多种,可年产多肽100kg以上。
我们的服务涉及到全国以及近三十个国家和地区,其中包括欧洲、北美、亚洲及大洋洲在内的制药公司、生物科技公司、高等院校以及科研机构等。
我们的产品和服务范围包括:
1.多肽原料药中间体的生产;?
2.多肽药物的研发、申报和生产;?
3.多肽定制合成服务CRO和CMO服务;?
4.特殊保护氨基酸以及小分子化合物合成;?
5.商品化多肽库的建立;?
6.新药研究开发的技术支持;?
7.多克隆抗体等。
公司视研发、创新为企业成长的核心生命力,持续不断地投入多肽领域研发,每年投入20%以上的收入作为研发经费,同时也鼓励和支持合作院校进行产学研合作。公司从采购,入库,合成,纯化,冻干,复测,运输等所有环节都严格的质量控制和监管,高效率、保质量、优服务是公司对每个客户的承诺!
其他服务