UDP-2-生物素基-GlcNAc,UDP-2-Biotinyl-GlcNAc
  • UDP-2-生物素基-GlcNAc,UDP-2-Biotinyl-GlcNAc

UDP-2-生物素基-GlcNAc,UDP-2-Biotinyl-GlcNAc 新品

价格 询价
包装 5mg 10mg 50mg
最小起订量 1mg
发货地 陕西
更新日期 2025-10-20
QQ交谈 微信洽谈

产品详情

中文名称:UDP-2-生物素基-GlcNAc英文名称:UDP-2-Biotinyl-GlcNAc
品牌: xingbieak产地: 陕西西安
保存条件: -20℃纯度规格: 95%
产品类别:
是否进口: 用途: 科研
产品规格: mg别名: 尿苷二磷酸-2-生物素基-N-乙酰葡糖胺
分子式: C₂₂H₃₃N₃Na₂O₁₇P₂分子量: 590.55
存储时间: 一年销售范围: 全国
2025-10-20 UDP-2-生物素基-GlcNAc UDP-2-Biotinyl-GlcNAc 5mg/RMB;10mg/RMB;50mg/RMB xingbieak 陕西西安 -20℃ 95%

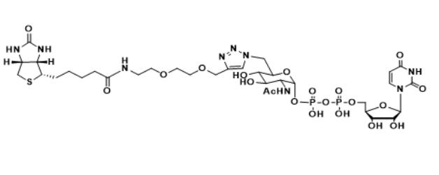
UDP-2-生物素基-GlcNAc(UDP-2-Biotinyl-GlcNAc)是一种经过化学修饰的核苷酸糖衍生物,在糖生物学研究和生物化学分析中具有重要应用。

化学结构与组成

  • 核心结构:由尿苷二磷酸(UDP)、2-生物素修饰基团和N-乙酰葡萄糖胺(GlcNAc)三部分组成

  • 修饰位点:生物素基团通过共价键连接在GlcNAc糖环的第2位,取代了N-乙酰基团

  • 分子式与分子量:常见分子式为C₂₂H₃₃N₃Na₂O₁₇P₂,分子量约为590.55 g/mol

  • 糖苷键:UDP通过焦磷酸键与GlcNAc的C1羟基连接,形成高能键,在糖基转移酶催化反应中易断裂,释放能量驱动糖基转移

结构式:

image.png

理化性质

  • 溶解性:水溶性良好,适用于细胞培养和体外实验。

  • 稳定性:在低温(-20°C)下保存较为稳定,应避免高温、湿气和强光,以保持其化学稳定性。

储存与使用

  • 储存条件:建议冷藏保存,避免高温、湿气和强光照射,以保持其稳定性和活性。

  • 使用注意事项

    • UDP-2-生物素基-GlcNAc仅用于科研,不能用于人体实验或临床诊断。

    • 在使用过程中,应遵循相关的安全规定和操作规程,避免直接接触皮肤和眼睛。

    • 确保试剂的质量和纯度,避免使用过期或受污染的试剂。

相关产品:

UDP-2-carbonyl-GlcNAc


UDP-6-Biotinyl-GlcNAc


UDP-2-Biotinyl-GlcNAc


UDP-6-N3-GalNAc


UDP-2-alkynyl-GalNAc


UDP-6-Biotinyl-GalNAc


UDP-2-Biotinyl-GalNAc


关键字: UDP-2-Biotinyl-GlcNA;UDP-2-生物素基-GlcNAc;尿苷二磷酸-2-生物素基-N-乙酰葡糖胺;

公司简介

陕西星贝爱科生物科技有限责任公司是西北一家从事经营进口科研试剂销售公司,科研试剂主要涉及生命科学、医 学及药学,生命科学试剂供应商之一
成立日期 2022-08-30 (4年) 注册资本 100万元
员工人数 1-10人 年营业额 ¥ 100万以内
主营行业 生物材料,纳米材料,高分子化学,合成材料,通用试剂 经营模式 贸易,试剂,定制
  • 陕西星贝爱科生物科技有限责任公司
VIP 1年
  • 公司成立:4年
  • 注册资本:100万元
  • 企业类型:有限责任公司(自然人独资)
  • 主营产品:聚乙二醇衍生物,荧光标记,生物素标记,微球,纳米材料定制等
  • 公司地址:雁塔区小寨东路102号百隆广场B座1806室
询盘

UDP-2-生物素基-GlcNAc,UDP-2-Biotinyl-GlcNAc相关厂家报价

产品名称 价格   公司名称 报价日期
询价
上海将来实业股份有限公司
2025-10-07
询价
VIP6年
武汉华玖医药科技有限公司
2025-10-23
询价
VIP4年
台州市裕欣生物科技有限公司
2025-10-17
内容声明:
以上所展示的信息由商家自行提供,内容的真实性、准确性和合法性由发布商家负责。 商家发布价格指该商品的参考价格,并非原价,该价格可能随着市场变化,或是由于您购买数量不同或所选规格不同而发生变化。最终成交价格,请咨询商家,以实际成交价格为准。请意识到互联网交易中的风险是客观存在的
主页 | 企业会员服务 | 广告业务 | 联系我们 | 旧版入口 | 中文MSDS | CAS Index | 常用化学品CAS列表 | 化工产品目录 | 新产品列表 |投诉中心
Copyright © 2008 ChemicalBook 京ICP备07040585号  京公海网安备110108000080号  All rights reserved.