- flavours and fragrances(8)
- pharmaceutical intermediates (111)
- Fine chemical raw material(198)
- UV absorber (28)
- OLED materials(297)
- Organic chemical(118)
- hair dye(29)
- dye intermediate (4)
- metal catalyst(3)
- Cosmetic material(61)
- Nature Extract(1)
- Battery material(100)
- plasticizer(23)
- Food additives(3)
| Country: | China |
|---|---|
| Tel: | +86-18339937369 |
| Mobile: | +86-1837154342 |
| E-mail: | info@lychems.cn |
| QQ: | |
| Skype: | Chat Now! |
| Address: | Jinxi Headquarters Port, No. 338 Lianhua Street, Zhengzhou,China. |
-
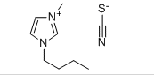
1-BUTYL-3-METHYLIMIDAZOLIUM THIOCYANATE
CAS:344790-87-0 -
1-BUTYL-3-METHYLIMIDAZOLIUM HYDROGENSULFATE
CAS:262297-13-2 -
1-BUTYL-3-METHYLIMIDAZOLIUM DICYANAMIDE
CAS:448245-52-1 -
1-BUTYL-3-METHYLIMIDAZOLIUM BIS(TRIFLUOR
CAS:174899-83-3 -
1-BUTYL-3-METHYLIMIDAZOLIUM NITRATE
CAS:179075-88-8 -
1-Butyl-3-methylimidazolium hexafluorophosphate
CAS:174501-64-5 -
1-Butyl-3-methylimidazolium tetrafluoroborate
CAS:174501-65-6 -
1-BUTYL-3-METHYLIMIDAZOLIUM IODIDE
CAS:65039-05-6 -
1-Butyl-3-methylimidazolium bromide
CAS:85100-77-2 -
1-Butyl-3-methylimidazolium chloride
CAS:79917-90-1 -
1-METHYL-3-PROPYLIMIDAZOLIUM IODIDE
CAS:119171-18-5 -
1-METHYL-3-PROPYLIMIDAZOLIUM BROMIDE
CAS:85100-76-1