- flavours and fragrances(8)
- pharmaceutical intermediates (111)
- Fine chemical raw material(198)
- UV absorber (28)
- OLED materials(297)
- Organic chemical(118)
- hair dye(29)
- dye intermediate (4)
- metal catalyst(3)
- Cosmetic material(61)
- Nature Extract(1)
- Battery material(100)
- plasticizer(23)
- Food additives(3)
| Country: | China |
|---|---|
| Tel: | +86-18339937369 |
| Mobile: | +86-1837154342 |
| E-mail: | info@lychems.cn |
| QQ: | |
| Skype: | Chat Now! |
| Address: | Jinxi Headquarters Port, No. 338 Lianhua Street, Zhengzhou,China. |
-
1-ETHYL-3-METHYLIMIDAZOLIUM THIOCYANATE
CAS:331717-63-6 -
1-ETHYL-3-METHYLIMIDAZOLIUM TRIFLUOROACETATE
CAS:174899-65-1 -
1-Ethyl-3-methylimidazolium trifluoromethanesulfonate
CAS:145022-44-2 -
3-Ethyl-1-methyl-1H-imidazolium salt with propanedinitrile
CAS:923019-22-1 -
1-ETHYL-3-METHYLIMIDAZOLIUM BIS(TRIFLUOROMETHYLSULFONYL)IMIDE
CAS:174899-82-2 -
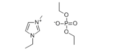
1-Ethyl-3-methylimidazolium diethylphosphate
CAS:848641-69-0 -
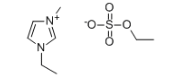
1-ETHYL-3-METHYLIMIDAZOLIUM ETHYL SULFATE
CAS:342573-75-5 -
1-hexadecyl-3-methylimidazolium bromide
CAS:132361-22-9 -
1-BUTYL-2,3-DIMETHYLIMIDAZOLIUM CHLORIDE
CAS:98892-75-2 -
1-BUTYL-2,3-DIMETHYLIMIDAZOLIUM TETRAFLUOROBORATE
CAS:402846-78-0 -
1-BUTYL-2,3-DIMETHYLIMIDAZOLIUM HEXAFLUOROPHOSPHATE
CAS:227617-70-1 -
1-Ethylpyridinium bromide
CAS:1906-79-2