- Medical supplements(10)
- Lithium battery material(30)
- Pharmaceutical intermediates (4960)
- flavour&fragrances(51)
- catalyst(30)
- OLED intermediates (31)
- UV absorber(11)
- Fluorinated material(33)
- organic synthesis intermediates(2985)
| Country: | China |
|---|---|
| Tel: | +86-0371-63689365 |
| Mobile: | +8618638391208 |
| E-mail: | sales@aochuangchem.com |
| QQ: | |
| Skype: | Chat Now! |
| Address: | building 5, Yard 9, South Wulongkou Road, High-tech Industrial Development Zone |
-
1H-Pyrrole-3-carboxaldehyde, 5-broMo-
CAS:881676-32-0 -
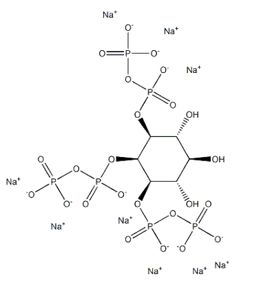
Myo-Inositol, cyclic 1,2:3,4:5,6-tris(P,P'-dihydrogen diphosphate)
CAS:802590-64-3 -
3-Hydroxy-4-methyl-5-ethyl-2(5H)furanone
CAS:698-10-2 -
Flumethrin
CAS:69770-45-2 -
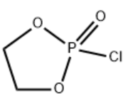
2-Chloro-1,3,2-dioxaphospholane-2-oxide
CAS:6609-64-9 -
Thymine
CAS:65-71-4 -
1-BROMO-2,2-DIMETHYLPROPANE
CAS:630-17-1 -
HEXYL CHLOROFORMATE
CAS:6092-54-2 -
Diethyl benzylmalonate
CAS:607-81-8 -
SODIUM GLYCINATE
CAS:6000-44-8 -
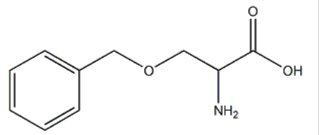
O-BENZYL-DL-SERINE
CAS:5445-44-3 -
Pinaverium bromide
CAS:53251-94-8
