- Intermediate of synthetic materials(2835)
- pharmaceutical intermediates(2948)
- catalyst(466)
- Custom compound libraries(1359)
- Daily chemicals(174)
- OLED(27)
- Electronic chemicals, OLED(1036)
- Organic silicon chemicals(240)
| Country: | China |
|---|---|
| Tel: | |
| Mobile: | +8613676922317 |
| E-mail: | jiuyitime@fdachem.com |
| QQ: | 951946612 |
| Skype: | Chat Now! |
| Address: | Room 548, 17th Floor, Building 2, No. 70 Dianchang Road, High-Tech Industrial Development Zone, Zhengzhou City, Henan Province |
-
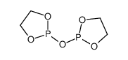
2-(1,3,2-dioxaphospholan-2-yloxy)-1,3,2-dioxaphospholane
CAS:3348-43-4
$3 -
3,3,3-trifluorolactic acid
CAS:684-07-1
$2.2 -
2,2,3,3,3-Pentafluoro-1-propanamine
CAS:422-03-7
$2.2 -
2-(perfluoropropoxy)perfluoropropyl trifluorovinyl ether
CAS:1644-11-7
$2.2 -
METHANESULFONIC ACID 4,4,5,5,5-PENTAFLUORO-PENTYL ESTER
CAS:252947-01-6
$2.2 -
Ethyl 4,4-difluoropentanoate
CAS:659-72-3
$2.2 -
Pentafluoropropanoic acid
CAS:422-64-0
$2.2 -
2-Butanol,3,3,4,4-tetrafluoro-
CAS:17425-25-1
$2.2 -
1,1-Dibromo-3,3,3-trifluoroacetone
CAS:431-67-4
$2.2 -
Ethyl 1-(trifluoromethyl)cyclopropanecarboxylate
CAS:139229-57-5
$2.2 -
Methyl 5-fluoro-2-pyridinecarboxylate
CAS:107504-07-4
$2.2 -
2-Propenoic acid, 2-methyl-, hexahydro-5-oxo-2,6-methanofuro[3,2-b]furan-3-yl ester
CAS:274248-05-4
$3
