暂无可领优惠券
客服热线:+86-15861285899
普通会员
1-甲基-3-丙基吡唑-5-羧
询价
更新时间:2013/04/23
4-氨基-1-甲基-3-正丙基-1H-吡唑-5-甲酰
2-氯-5-甲基噻唑-4-羧酸乙酯
更新时间:2021/01/06
吲唑-5-甲酸盐酸盐
更新时间:2021/03/26
依酚氯铵
更新时间:2021/07/14
2-氨基-4-氯-5-氟嘧
更新时间:2022/07/29
5-氯-2-羟基-3-甲氧基苯甲醛
更新时间:2022/09/06
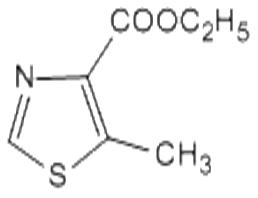
5-甲基噻唑-4-羧酸乙酯
更新时间:2022/11/01
2-氨基-5-甲基噻唑-4-羧酸乙酯
更新时间:2023/02/16
苯酸四丁铵
更新时间:2023/04/29
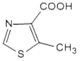
5-甲基噻唑-4-羧酸
更新时间:2023/06/27
2-三氟甲基噻唑-4-羧酸
更新时间:2024/02/24
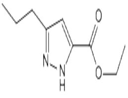
3-丙基吡唑-5-甲酸乙
更新时间:2024/03/18
1-甲基-3-正丙基-吡唑-5-甲酸乙
更新时间:2025/11/09
商家暂时不对外公布