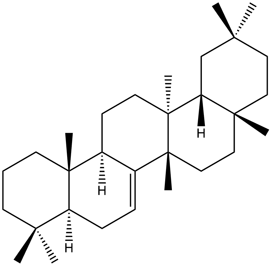
18BETA(H)-OLEAN-12(13)-ENE synthesis
- Product Name:18BETA(H)-OLEAN-12(13)-ENE
- CAS Number:471-68-1
- Molecular formula:C30H50
- Molecular Weight:410.72
33466-05-6
0 suppliers
inquiry
471-68-1
6 suppliers
$497.63/5MG
Yield:-
Reaction Conditions:
with potassium hydroxide;hydrazine hydrate
References:
Cainelli et al. [Helvetica Chimica Acta,1957,vol. 40,p. 2390,2405]
72247-03-1
0 suppliers
inquiry
471-68-1
6 suppliers
$497.63/5MG
33710-40-6
0 suppliers
inquiry
471-68-1
6 suppliers
$497.63/5MG
33465-90-6
0 suppliers
inquiry
471-68-1
6 suppliers
$497.63/5MG
33465-91-7
0 suppliers
inquiry
471-68-1
6 suppliers
$497.63/5MG