Welcome to chemicalbook!
Chinese English Japanese Germany Korea
010-86108875
Try our best to find the right business for you.
Do not miss inquiry messages Please log in to view all inquiry messages.

Welcome back!

ChemicalBook CAS DataBase List 1-(tert-butylamino)-3-[[4-(morpholin-4-yl)-1,2,5-thiadiazol-3-yl]oxy]propan-2-ol
29023-48-1

1-(tert-butylamino)-3-[[4-(morpholin-4-yl)-1,2,5-thiadiazol-3-yl]oxy]propan-2-ol synthesis

1synthesis methods
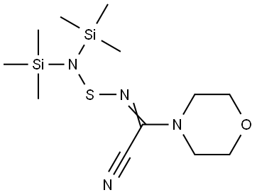
Sulfur diamide, N'-(cyano-4-morpholinylmethylene)-N,N-bis(trimethylsilyl)-

895167-75-6
0 suppliers
inquiry

22741-52-2 Synthesis
3-(tert-butylamino)propane-1,2-diol

22741-52-2
7 suppliers
inquiry

1-(tert-butylamino)-3-[[4-(morpholin-4-yl)-1,2,5-thiadiazol-3-yl]oxy]propan-2-ol

29023-48-1
9 suppliers
inquiry

-

Yield:-

Reaction Conditions:

with potassium tert-butylate in tetrahydrofuran;tert-butylmethyl ether at 20;

Steps:

34

EXAMPLE 34Synthesis of 3-(3-tert-butylamino-2-hydroxypropoxy)-4-(1-morpholinyl):[1,2,5]-thiadiazoleCompound 3-tert-butylamino-1,2-propanediaol (4 mmol) and potassium tert-butoxide (0.4 mL of a 1M THF solution, 0.4 mmol) are added to a solution of 2-(4-morpholinyl)-2-(N,N-bis(trimethylsilyl)aminothio)imino acetonitrile (2 mmol) in tert-butylmethyl ether (20 mL). Stir at room temperature and monitor the reaction for completion by thin layer chromatography. Water is added to quench the reaction and the organic layer is separated. The aqueous layer is extracted with tert-butyl methyl ether. The combined organic layers are dried over magnesium sulfate and evaporated to dryness. The residue is purified by flash chromatography to afford the title compound.

References:

US2009/156808,2009,A1 Location in patent:Page/Page column 9