ChemicalBook--->CAS DataBase List--->121758-19-8

121758-19-8

121758-19-8 Structure

121758-19-8 Structure
IdentificationBack Directory
[Name]

(1R,2R)-N,N'-DI-P-TOLUENESULFONYL-1,2-DIPHENYL-1,2-ETHYLENEDIAMINE
[CAS]

121758-19-8
[Synonyms]

(1R,2R)-N,N'-DITOSYL-1,2-DIPHENYL-1,2-ETHANEDIAMINE
(1R,2R)-(+)-N,N'-DI-P-TOSYL-1,2-DIPHENYL-ETHYLENEDIAMINE
(1R,2R)-N,N'-Di-p-tosyl-1,2-diphenyl-1,2- ethylenediamine
(1R,2R)-N,N'-Di-p-tosyl-1,2-diphenyl-1,2- ethylenediamine,99%e.e.
(1R,2R)-N,N'-Di-p-tosyl-1,2-diphenyl-1,2-ethylenediamine, min. 98%
(1R,2R)-N,N'-DI-P-TOLUENESULFONYL-1,2-DIPHENYL-1,2-ETHYLENEDIAMINE
(1R,2R)-n,n'-Di-p-Toluenesulphonyl-1,2-Diphenyl-1,2-Ethylenediamine
(1R,2R)-N,N'-Di-p-toluenesulfonyl-1,2-diphenyl-1,2-ethylenediamine,98%
Benzenesulfonamide,N,N'-[(1R,2R)-1,2-diphenyl-1,2-ethanediyl]bis[4-methyl-
[Molecular Formula]

C28H28N2O4S2
[MDL Number]

MFCD00269673
[MOL File]

121758-19-8.mol
[Molecular Weight]

520.66
Chemical PropertiesBack Directory
[Appearance]

White to off-white crystalline solid
[Melting point ]

203-208 °C
[form ]

Powder
[color ]

white to light-yellow
Hazard InformationBack Directory
[Chemical Properties]

White to off-white crystalline solid
Safety DataBack Directory
[Symbol(GHS) ]


GHS07
[Signal word ]

Warning
[Hazard statements ]

H312-H332-H302
[Precautionary statements ]

P264-P270-P301+P312-P330-P501-P261-P271-P304+P340-P312-P280-P302+P352-P312-P322-P363-P501
[Safety Statements ]

24/25
[HS Code ]

29215990
Questions And AnswerBack Directory
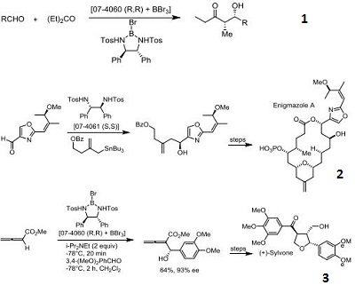
[Reaction]

  1. Chiral reagent used the natural product synthesis of the rice and corn weevil aggregation pheromone sitophilure
  2. Chiral reagent used in the total synthesis of enigmazole A
  3. Chiral reagent used in the enantioselective synthesis of Furan Lignan (+)-Sylvone
Reactions of 121758-19-8
Spectrum DetailBack Directory
[Spectrum Detail]

(1R,2R)-N,N'-DI-P-TOLUENESULFONYL-1,2-DIPHENYL-1,2-ETHYLENEDIAMINE(121758-19-8)1HNMR
121758-19-8 suppliers list
Company Name: Alchem Pharmtech,Inc.
Tel: 8485655694
Website: www.chemicalbook.com/ShowSupplierProductsList454175/0_EN.htm
Company Name: SUZHOU SENFEIDA CHEMICAL CO.,LTD
Tel: +86-0512-83500002 +8618662433356 , +8618662433356
Website: www.sfdchem.com/
Company Name: Aladdin Scientific
Tel:
Website: www.aladdinsci.com/
Company Name: Watson Biotechnology Co.,Ltd
Tel: +86-18186686046 +86-18186686046; , +86-18186686046;
Website: https://www.chemicalbook.com/manufacturer/cnwhwatson/
Company Name: Shenzhen Nexcon Pharmatechs Ltd.
Tel: +86-0755-89396905 +86-18025329037 , +86-18025329037
Website:
Company Name: DAYANG CHEM (HANGZHOU) CO.,LTD
Tel: +86-88938639 +86-17705817739 , +86-17705817739
Website: www.dycnchem.com
Company Name: Meryer (Shanghai) Chemical Technology Co., Ltd.  
Tel: 4006356688 18621169109
Website: www.x-labseek.com/
Company Name: Beijing Donghualituo Techonlogy Development Co.,Ltd.  
Tel: 010-88425576
Website: www.dhltchem.com
Company Name: Adamas Reagent, Ltd.  
Tel: 400-6009262 16621234537
Website: http://www.tansoole.com
Company Name: Daicel Chiral Technologies (China)CO.,LTD  
Tel: 021-50460086-9 15921403865
Website: http://www.daicelchiraltech.cn/reagents/Default.aspx
Company Name: Hangzhou Yuhao Chemical Technology Co., Ltd  
Tel: 0571-82693216
Website: www.chemyuhao.com
Company Name: Tianjin Derchemist Science & Technology Co., Ltd.  
Tel: 22-58627059 13920586291
Website: http://www.derchemist.com
Company Name: Chengdu Forest Science and Technology Development Co., Ltd.  
Tel: 18030648795 18030648795
Website: http://www.cdforestchem.com
Company Name: Bide Pharmatech Ltd.  
Tel: 400-400-164-7117 18317119277
Website: www.bidepharm.com
Company Name: Alfa Chemistry  
Tel: 1-516-6625404
Website: https://www.alfa-chemistry.com
Company Name: Shanghai Qiao Chemical Science Co., Ltd  
Tel: 021-58892003
Website: https://www.chemicalbook.com/supplier/10168672/1.htm
Company Name: Shanghai YuanYe Biotechnology Co., Ltd.  
Tel: 021-61312847; 18021002903
Website: http://www.shyuanye.com
Company Name: Greenherbs Science and Technology Development Co., Ltd.  
Tel: 010-61136123
Website: www.greenherbs.com.cn
Tags:121758-19-8 Related Product Information
1067631-22-4 511534-44-4 1391731-16-0 112068-01-6 35132-20-8 174291-97-5 146504-07-6 29841-69-8 22348-32-9 167316-27-0 144222-34-4 16635-95-3 1576-37-0

  • HomePage | Member Companies | Advertising | Contact us | Previous WebSite | MSDS | CAS Index | CAS DataBase | Privacy | Terms | About Us
  • All products displayed on this website are only for non-medical purposes such as industrial applications or scientific research, and cannot be used for clinical diagnosis or treatment of humans or animals. They are not medicinal or edible.
    According to relevant laws and regulations and the regulations of this website, units or individuals who purchase hazardous materials should obtain valid qualifications and qualification conditions.
  • Copyright © 2023 ChemicalBook All rights reserved.