| Identification | Back Directory | [Name]
3-Prop-2-ynoxypropane-1,2-diol | [CAS]
13580-38-6 | [Synonyms]
POPDH POPPDH Einecs 237-012-2 1-Propargyl glycerol ether 3-Prop-2-ynoxypropane-1,2-diol 3-(2-propynyloxy)propane-1,2-diol 3-(2-Propynyloxy)-1,2-propanediol Propargyl-oxo-propane-2,3-dihyroxy Propargyl-oxo-propane-2,3-dihydroxy 3-(Prop-2-yn-1-yloxy)propane-1,2-diol 1,2-Propanediol, 3-(2-propyn-1-yloxy)- Propynyl-oxo-hydroxy-propane sulfonate Propargyl-oxo-propane-2,3-dihydroxy:POPDH POPDH ( Propargyl-oxo-propane-2,3-dihydroxy | [EINECS(EC#)]
237-012-2 | [Molecular Formula]
C6H10O3 | [MDL Number]
MFCD09752829 | [MOL File]
13580-38-6.mol | [Molecular Weight]
130.14 |
| Hazard Information | Back Directory | [Uses]
3-Prop-2-ynoxypropane-1,2-diol is an electroplating intermediate that can be used to formulate electroplating brighteners, and is used in combination with alkynyl alcohol derivatives to synergise light production and enhance ionic co-deposition. | [Synthesis]
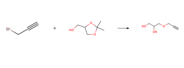
3-Prop-2-ynoxypropane-1,2-diol is prepared by the reaction of propargyl bromide and (R,S)-2,2-dimethyl-1,3-dioxolane-4-methanol. The specific synthesis steps are as follows: Step 1: propargyl bromide; (R,S)-2,2-dimethyl-1,3-dioxolane-4-methanol With sodium hydride In tetrahydrofuran Reflux; Step 2: With hydrogenchloride In tetrahydrofuran; methanol; water at 20℃; for 8h.

|
|
|