ChemicalBook--->CAS DataBase List--->1365531-94-7

1365531-94-7

1365531-94-7 Structure

1365531-94-7 Structure
IdentificationBack Directory
[Name]

(S)-2,2'-Bis[bis(4-Methoxy-3,5-diMethylphenyl)phosphino]-4,4',6,6'-tetraMethoxybiphenyl, 97+%
[CAS]

1365531-94-7
[Synonyms]

(S)-2,2'-Bis[bis(4-Methoxy-3,5-diMethylphenyl)phosphino]-4,4',6,6'-tetraMethoxybiphenyl, 97+%
(S)-2,2'-Bis[bis(4-methoxy-3,5-dimethylphenyl)phosphino]-4,4',6,6'-tetramethoxy)-1,1'-biphenyl
(S)-2,2'-Bis[bis(4-Methoxy-3,5-diMethylphenyl)phosphino]-4,4',6,6'-tetraMethoxybiphenyl, Min. 97% (S)-DMM-Garphos
(S)-2,2'-Bis[bis(4-methoxy-3,5-dimethylphenyl)phosphino]-4,4',6,6'-tetramethoxy)-1,1'-biphenyl, min. 97% (S)-DMM-Garphos(TM)
[Molecular Formula]

C52H60O8P2
[MDL Number]

MFCD19443626
[MOL File]

1365531-94-7.mol
[Molecular Weight]

874.976
Chemical PropertiesBack Directory
[form ]

crystal
[color ]

white
[Sensitive ]

Air Sensitive
[CAS DataBase Reference]

1365531-94-7
Safety DataBack Directory
[Symbol(GHS) ]


GHS07
[Signal word ]

Warning
[Hazard statements ]

H315-H319-H335
[Precautionary statements ]

P261-P280a-P304+P340-P305+P351+P338-P405-P501a
Questions And AnswerBack Directory
[Reaction]

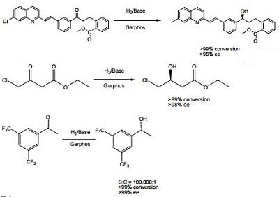
Chiral ligand used in the preparation of hydrogenation catalysts with exceptionally high activity and selectivity. Reactions of 1365531-94-7
1365531-94-7 suppliers list
Company Name: Career Henan Chemica Co
Tel: +86-0371-86658258 +8613203830695 , +8613203830695
Website: www.coreychem.com/
Company Name: Aladdin Scientific
Tel:
Website: www.aladdinsci.com/
Company Name: J & K SCIENTIFIC LTD.  
Tel: 18210857532; 18210857532
Website: https://www.jkchemical.com
Company Name: Alfa Aesar  
Tel: 400-6106006
Website: http://chemicals.thermofisher.cn
Company Name: Shanghai YuanYe Biotechnology Co., Ltd.  
Tel: 021-61312847; 18021002903
Website: http://www.shyuanye.com
Company Name: LaaJoo  
Tel: 021-60702684 18516024827
Website: www.chemicalbook.com/ShowSupplierProductsList20079/0_EN.htm
Company Name: Shandong Ono Chemical Co., Ltd.  
Tel: 0539-6362799 20)
Website: www.onochem.com
Company Name: Shanghai Anyinuo Biomedical Technology Co., Ltd.  
Tel: 021-34625901 18018851262;
Website: https://www.aynchem.com
Company Name: Shenzhen Polymeri Biochemical Technology Co., Ltd.  
Tel: +86-400-002-6226 +86-13028896684;
Website: https://www.rrkchem.com
Company Name: Jiangsu aikang biomedical research and development co., LTD  
Tel: 025-58859352 13155353615
Website: http://www.aikonchem.com/
Company Name: Henan Weituxi Chemical Technology Co., Ltd.  
Tel: 0371-63284658 18135795563
Website: www.chemicalbook.com/supplier/15004346/
Company Name: Energy Chemical  
Tel: 021-58432009 400-005-6266
Website: http://www.energy-chemical.com
Company Name: Beijing Jin Ming Biotechnology Co., Ltd.  
Tel: 010-60605840 15801484223;
Website: http://www.jm-bio.com/
Company Name: Bide Pharmatech Ltd.  
Tel: 400-6005915
Website: www.picasso-e.com/
Company Name: Beijing Solarbio Science & Tecnology Co., Ltd.  
Tel: 010-50973130 17801761073
Website: www.solarbio.com/
Company Name: Beijing Solarbio Science & Tecnology Co., Ltd.  
Tel: 010-50973130 17801761073
Website: www.solarbio.com/
Company Name: Shanghai Jieshikai Biotechnology Co. , Ltd.  
Tel: 021-57520305 13795461237
Website: www.jskchem.com
Company Name: Shanghai Aladdin Biochemical Technology Co.,Ltd.  
Tel: 400-6206333 13167063860
Website: www.aladdin-e.com/
Tags:1365531-94-7 Related Product Information

  • HomePage | Member Companies | Advertising | Contact us | Previous WebSite | MSDS | CAS Index | CAS DataBase | Privacy | Terms | About Us
  • All products displayed on this website are only for non-medical purposes such as industrial applications or scientific research, and cannot be used for clinical diagnosis or treatment of humans or animals. They are not medicinal or edible.
    According to relevant laws and regulations and the regulations of this website, units or individuals who purchase hazardous materials should obtain valid qualifications and qualification conditions.
  • Copyright © 2023 ChemicalBook All rights reserved.