ChemicalBook--->CAS DataBase List--->14973-89-8

14973-89-8

14973-89-8 Structure

14973-89-8 Structure
IdentificationBack Directory
[Name]

BROMOTRIS(TRIPHENYLPHOSPHINE)RHODIUM(I)
[CAS]

14973-89-8
[Synonyms]

orange crystal
Einecs 239-050-5
BROMOTRIS(TRIPHENYLP
99.95%(metalsbasis),Rh10.1%min
Tris(triphenylphosphine)bromide
bromotris(triphenylphosphine)rhodium
BROMO-TRIS-(TRIPHENYLPHOSPHINO)RHODIUM
BROMOTRIS(TRIPHENYLPHOSPHINE)RHODIUM(I)
rhodium(I) tris(triphenylphosphine) bromide
TRIS(TRIPHENYLPHOSPHINE)RHODIUM(I) BROMI DE
Bromotris(triphenylphosphine)rhodium(I), 99.95% (metals basis)
Bromotris(Triphenylphosphine)Rhodium(I) (Metals Basis), Rh 10.1% Min
Bromotris(triphenylphosphine)rhodium(I), 99.95% (metals basis), Rh 10.1% min
[EINECS(EC#)]

239-050-5
[Molecular Formula]

C54H45BrP3Rh
[MDL Number]

MFCD00009828
[MOL File]

14973-89-8.mol
[Molecular Weight]

969.67
Chemical PropertiesBack Directory
[Appearance]

orange crystals
[storage temp. ]

under inert gas (nitrogen or Argon) at 2-8°C
[solubility ]

Soluble in chlorinated solvents
[form ]

Crystalline
[Sensitive ]

Air sensitive
[Exposure limits]

ACGIH: TWA 0.01 mg/m3; TWA 1 mg/m3
NIOSH: IDLH 2 mg/m3; IDLH 100 mg/m3; TWA 0.001 mg/m3; TWA 0.1 mg/m3
Hazard InformationBack Directory
[Chemical Properties]

orange crystals
Safety DataBack Directory
[Hazard Codes ]

Xn
[Risk Statements ]

20/21/22
[Safety Statements ]

36
Questions And AnswerBack Directory
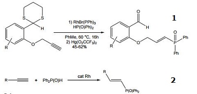
[Reaction]

  1. Rhodium-catalyzed regio- and stereoselective addition of diphenylphosphine oxide to alkynes.
  2. Rhodium- catalyzed hydrophosphinylation.
Reactions of 14973-89-8
14973-89-8 suppliers list
Company Name: career henan chemical co
Tel: +86-0371-86658258 +8613203830695 , +8613203830695
Website: www.coreychem.com/
Company Name: Nanjing Dolon Biotechnology Co.,Ltd.
Tel: 18905173768
Website: www.chemicalbook.com/ShowSupplierProductsList31215/0_EN.htm
Company Name: Hubei Jusheng Technology Co.,Ltd.
Tel: 18871490254
Website: www.hubeijusheng.com
Company Name: Shaanxi Dideu Medichem Co. Ltd
Tel: +86-29-81139210 +86-18192627656 , +86-18192627656
Website: https://www.chemicalbook.com/manufacturer/shaanxi-dideu-medichem-219/
Company Name: Antai Fine Chemical Technology Co.,Limited
Tel: 18503026267 , 18503026267
Website: www.chemicalbook.com/ShowSupplierProductsList1980510/0_EN.htm
Company Name: SIMAGCHEM CORP
Tel: +86-5922680277 +86-13806087780 , +86-13806087780
Website: http://www.simagchem.com/
Company Name: Shanghai Bosheng Metal Materials Co. LTD
Tel: 18601346310
Website: www.chemicalbook.com/ShowSupplierProductsList204620/0_EN.htm
Company Name: Hefei TNJ Chemical Industry Co.,Ltd.
Tel: +86-0551-65418671 +8618949823763 , +8618949823763
Website: www.tnjchem.com
Company Name: Shanghai UCHEM Inc.
Tel: +862156762820 +86-13564624040 , +86-13564624040
Website: http://www.myuchem.com/
Company Name: Dayang Chem (Hangzhou) Co.,Ltd.
Tel: +86-0571-88938639 +8617705817739 , +8617705817739
Website: www.dycnchem.com/
Company Name: Zhejiang J&C Biological Technology Co.,Limited
Tel: +1-2135480471 +1-2135480471; , +1-2135480471;
Website: https://www.sarms4muscle.com
Company Name: CD Chemical Group Limited
Tel: +8615986615575 , +8615986615575
Website: http://www.codchem.com/
Company Name: Aromsyn Co., Ltd.
Tel: +86-0571-85585865 +8613336024896 , +8613336024896
Website: https://www.aromsyn.com/
Company Name: PT CHEM GROUP LIMITED
Tel: +86-85511178;
Website: https://www.chemicalbook.com/manufacturer/henan-lihao-chem-plant-25020/
Company Name: GIHI CHEMICALS CO.,LIMITED
Tel: +86-571-86217390; +8618058761490 , +8618058761490
Website: https://www.gihichem.com/
Company Name: Aladdin Scientific
Tel:
Website: www.aladdinsci.com/
Company Name: XIAMEN AMITY INDUSTRY AND TRADE CO., LTD.
Tel: +8618950047208 , +8618950047208
Website: www.amitychem.com
Company Name: Chongqing Chemdad Co., Ltd
Tel: +86-023-6139-8061 +86-86-13650506873 , +86-86-13650506873
Website: http://www.chemdad.com/
Tags:14973-89-8 Related Product Information
10049-07-7 1034-39-5 603-35-0 7440-16-6 2136-75-6 6399-81-1

  • HomePage | Member Companies | Advertising | Contact us | Previous WebSite | MSDS | CAS Index | CAS DataBase | Privacy | Terms | About Us
  • All products displayed on this website are only for non-medical purposes such as industrial applications or scientific research, and cannot be used for clinical diagnosis or treatment of humans or animals. They are not medicinal or edible.
    According to relevant laws and regulations and the regulations of this website, units or individuals who purchase hazardous materials should obtain valid qualifications and qualification conditions.
  • Copyright © 2023 ChemicalBook All rights reserved.