| Identification | More | [Name]
1,3-Bis(3-methacryloxypropyl)tetramethyldisiloxane | [CAS]
18547-93-8 | [Synonyms]
1,3-BIS(3-METHACRYLOXYPROPYL)TETRAMETHYLDISILOXANE 1,3-BIS(3-METHACRYLOYLOXYPROPYL)-1,1,3,3-TETRAMETHYLDISILOXANE 3,3'-(1,1,3,3-TETRAMETHYLDISILOXAN-1,3-DIYL)DIPROPYL DIMETHACRYLATE BIS(3-METHACRYLOXYPROPYL) TETRAMETHYLDISILOXANE BIS(METHACRYLOXYPROPYL)TETRAMETHYLDISILOXANE METHACRYLOXYPROPYL TERMINATED POLYDIMETHYLSILOXANE METHACRYLOXYPROPYL TERMINATED POLYDIMETHYLSILOXANES POLYDIMETHYLSILOXANE, METHACRYLOXYPROPYL TERMINATED POLYDIMETHYLSILOXANE, MONOMETHACRYLOXYPROPYL TERMINATED 2-propenoicacid,2-methyl-,(1,1,3,3-tetramethyl-1,3-disiloxanediyl)di-3,1-pro (1,1,3,3-tetramethyldisiloxane-1,3-diyl)dipropane-1,3-diyl dimethacrylate 1,3-BIS(3-METHACRYLOYLOXYPROPYL)-1,1,3, 3-TETRAME.DISILOXANE 1,3-BIS(3-METHACRYLOXYPROPYL)-1,1,3,3-TETRAMETHYLDISILOXANE Polydimethylsiloxane, methacryloxypropyl terminated, viscosity 1-2 cSt. bis(3-Methacryloxypropyl)tetramethyldisiloxane 2-propenoic acid, 2-methyl-, (1,1,3,3-tetramethyl-1,3-disiloxanediyl)di-3,1-pro panediyl ester 1,3-Bis[3-(methacryloyloxy)propyl]-1,1,3,3-tetramethylpropanedisiloxane Bis(2-methylpropenoic acid)(1,1,3,3-tetramethylpropanedisiloxane-1,3-diyl)bis(3,1-propanediyl) ester Bismethacrylic acid (1,1,3,3-tetramethylpropanedisiloxane-1,3-diyl)bis(trimethylene) ester Bismethacrylic acid oxybis[dimethylsilylene(3,1-propanediyl)] ester | [EINECS(EC#)]
242-419-3 | [Molecular Formula]
C18H34O5Si2 | [MDL Number]
MFCD00241464 | [Molecular Weight]
386.63 | [MOL File]
18547-93-8.mol |
| Chemical Properties | Back Directory | [Melting point ]
<0°C | [Boiling point ]
127°C 3mm | [density ]
0.966 g/mL at 20 °C(lit.)
| [vapor pressure ]
0.005Pa at 25℃ | [refractive index ]
n20/D 1.45
| [Fp ]
>110°C | [storage temp. ]
below 5° C | [Specific Gravity]
0.96 | [Water Solubility ]
1.5μg/L at 20℃ | [Hydrolytic Sensitivity]
3: reacts with aqueous base | [InChI]
InChI=1S/C18H34O5Si2/c1-15(2)17(19)21-11-9-13-24(5,6)23-25(7,8)14-10-12-22-18(20)16(3)4/h1,3,9-14H2,2,4-8H3 | [InChIKey]
ZIFLDVXQTMSDJE-UHFFFAOYSA-N | [SMILES]
[Si](CCCOC(=O)C(C)=C)(C)(C)O[Si](CCCOC(=O)C(C)=C)(C)C | [LogP]
8.1 at 20℃ | [CAS DataBase Reference]
18547-93-8(CAS DataBase Reference) | [EPA Substance Registry System]
1,3-Bis(3-methacryloyloxypropyl)tetramethyldisiloxane (18547-93-8) |
| Safety Data | Back Directory | [Symbol(GHS) ]
 GHS09 | [Signal word ]
Warning | [Hazard statements ]
H410 | [Precautionary statements ]
P273-P391-P501 | [Hazard Codes ]
Xi | [Risk Statements ]
R36/37/38:Irritating to eyes, respiratory system and skin . | [Safety Statements ]
S26:In case of contact with eyes, rinse immediately with plenty of water and seek medical advice . S36:Wear suitable protective clothing . | [WGK Germany ]
3
| [TSCA ]
Yes | [REACH Registrations]
Active |
| Hazard Information | Back Directory | [Flammability and Explosibility]
Notclassified | [Synthesis]
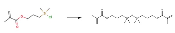
Cool down 600g H2O to below 5°C, slowly add the intermediate product 3-(chlorodimethylsilyl)propyl methacrylate, restore room temperature and stir for 8h. Then stand, separate the organic phase, wash with water to neutral, add anhydrous sodium sulfate to dry the organic phase, filter to remove the desiccant, and remove the low boiling point substance in the system under reduced pressure to obtain 645.11g of product 1,3-Bis(3-methacryloxypropyl)tetramethyldisiloxane, with a yield of 97%.
 |
|
|