ChemicalBook--->CAS DataBase List--->2757292-12-7

2757292-12-7

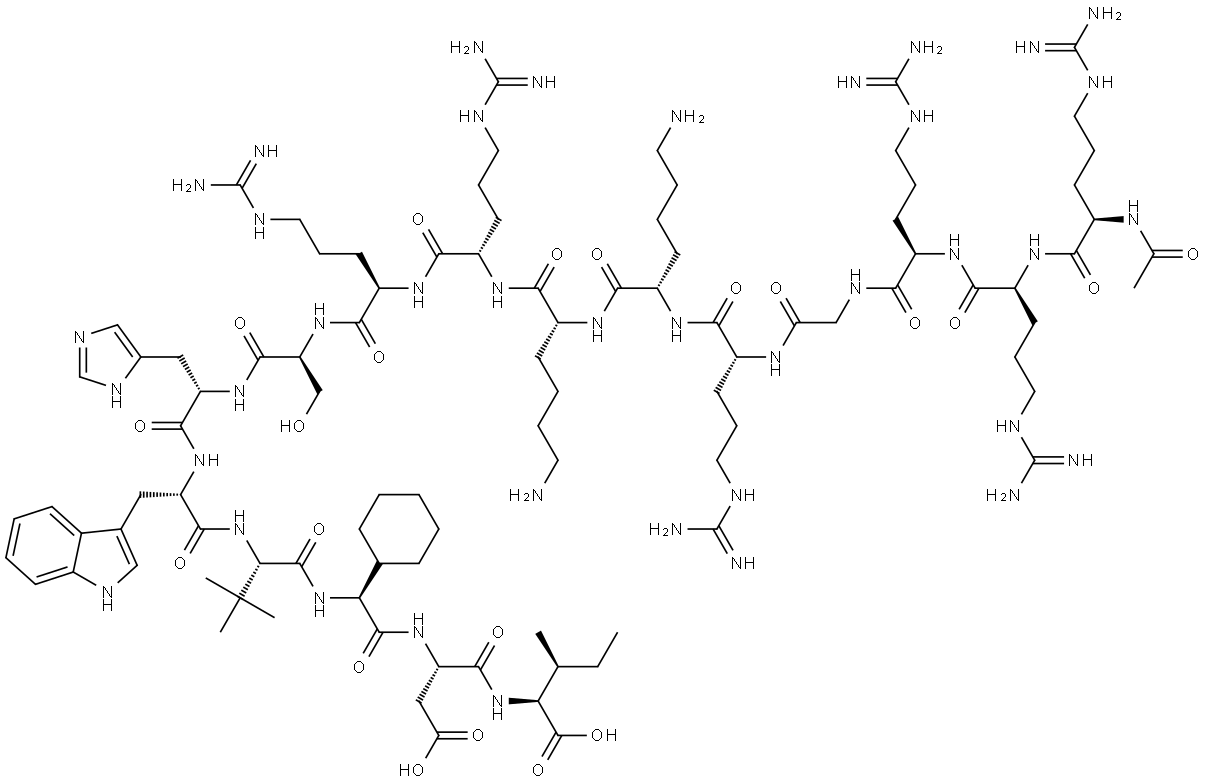
2757292-12-7 Structure

2757292-12-7 Structure
IdentificationBack Directory
[Name]

KSL 128114
[CAS]

2757292-12-7
[Synonyms]

KSL 128114
Chemical PropertiesBack Directory
[Sequence]

Ac-{d-Arg}-Arg-{d-Arg}-Gly-{d-Arg}-Lys-{d-Lys}-Arg-{d-Arg}-Ser-His-Trp-Tle-Chg-Asp-Ile
2757292-12-7 suppliers list
Company Name: Hangzhou Peptidego Biotech Co.,Ltd.  
Tel: 0571-87213919
Website: http://peptidego.com
Company Name: Hangzhou Sinoda Pharmaceutical Technology Co. LTD  
Tel: 0571-87213919 17306812703
Website: www.chemicalbook.com/ShowSupplierProductsList1355681/0_EN.htm
Company Name: Nanjing Typeptide Biotechnology Co.,Ltd.  
Tel: 19941518170
Website: www.typeptide.com
Tags:2757292-12-7 Related Product Information
335080-41-6 1403753-45-6 2407100-74-5 103659-06-9 155575-02-3

  • HomePage | Member Companies | Advertising | Contact us | Previous WebSite | MSDS | CAS Index | CAS DataBase | Privacy | Terms | About Us
  • All products displayed on this website are only for non-medical purposes such as industrial applications or scientific research, and cannot be used for clinical diagnosis or treatment of humans or animals. They are not medicinal or edible.
    According to relevant laws and regulations and the regulations of this website, units or individuals who purchase hazardous materials should obtain valid qualifications and qualification conditions.
  • Copyright © 2023 ChemicalBook All rights reserved.