104030-54-8
104030-54-8 结构式
基本信息
环丙酰菌胺
环丙酰菌胺 标准品
环丙酰菌胺溶液,100PPM
CARPROPAMID SOLUTON
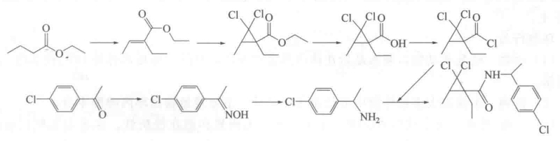
2,2-二氯-N-[1-(4-氯苯基)乙基]-1-乙基-3-甲基环丙甲酰胺
CARPROPAMID@1000 ΜG/ML IN ACETONITRILE
CARPROPAMIDE
Carpropamid 0
Carproamid Soluton
Carpropamid Soluton
CARPROPAMID <)>97 %
CARPROPAMID STANDARD
carpropamid (bsi,paiso)
Carpropamid Solution,100ppm
Carpropamid@100 μg/mL in Acetonitrile
物理化学性质
environmental
常见问题列表
环丙酰菌胺为非对映异构体的混合物(A∶B大约为1:1,R:S大约为95∶5)。纯品为无色结晶状固体(原药为淡黄色粉末)。熔点:AR 为 161.7℃,BR 为 157.6℃。蒸气压:AR为2×10-3mPa,BR 为3×10-3 mPa(均在20℃,气体饱和法,OECD104)。分配系数K- lgP=AR 4.23,BR 4.28(均在22℃)。Henry常数:AR为4×10-4Pa·m3 /mol,BR为5×10-4Pa·m3/mol(均在20℃)。相对密度1.17(20℃)。水中溶解度(mg/L,pH 7,20℃):1.7(AR ),1.9(BR)。有机溶剂中溶解度(g/L,20℃):丙酮153,甲醇106,甲苯38,己烷0.9。
急性经口 LD50 ( mg/kg):雄、雌大鼠>5000,雄、雌小鼠>5000。雄、雌大鼠急性经皮LD50>5000mg/kg。对兔皮肤和眼睛无刺激,对豚鼠皮肤无致敏性。雄、雌大鼠吸入LC50(4h)>5000mg/L(灰尘)。大鼠和小鼠2y喂养试验无作用剂量为400mg/kg;狗1y喂养试验无作用剂量为200mg/kg。ADI值为0.03mg/kg;(FSC)为 0.014mg/kg。体内和体外试验均无致突变性。
(1)适宜作物与安全性水稻,推荐剂量下对作物安全、无药害。
(2)预防对象稻瘟病
(3)使用方法环丙酰菌胺主要用于稻田防治稻瘟病。以预防为主,几乎没有治疗活性,具有内吸活性。在接种后6h内用环丙酰菌胺处理,可完全控制稻瘟病的侵害,但超过6h如 8h后处理,几乎无活性。在育苗箱中应用剂量为400g(a.i.)/ hm2,茎叶处理剂量为75~150g(a. i.)/hm2,种子处理剂量300~400g(a.i.)/t种子。
环丙酰菌胺是内吸、保护性杀菌剂。与现有杀菌剂不同,环丙酰菌胺无杀菌活性,不抑制病原菌菌丝的生长。其具有两种作用方式:抑制黑色素生物合成和在感染病菌后可加速植物抗菌素如稻壳酮A和樱花亭的产生,这种抗性机理预示环丙酰菌胺可能对其他病害亦有活性。也即在稻瘟病中,通过抑制从小柱孢酮到1,3,8-三羟基萘和从柱孢醒到1,8-二羟基萘的脱氢反应,从而抑制黑色素的形成,也通过增加伴随水稻疫病感染产生的植物抗毒素而提高作物抵抗力。
(1)动物:大鼠口服放射性同位素标记的环丙酰菌胺后,很容易通过粪便和尿液排出体外,环丙酰菌胺主要在肝脏通过氧化进行代谢。
(2)植物:通过土壤(育苗箱中的应用)或营养培养基处理的水稻,环丙酰菌胺由根部吸收,然后运输到芽叶部。水稻中的主要残留物是环丙酰菌胺。
(3)土壤/环境︰环丙酰菌胺在稻田土壤中的主要代谢物是二氧化碳。通过田间和实验室试验,环丙酰菌胺在稻田土壤中的代谢半衰期分别为数周和数月。其同系物的吸附/解吸的研究表明环丙酰菌胺可以归类为低流动物质。环丙酰菌胺在无菌水溶液的缓冲溶液中可以稳定存在,其在天然水中的光降解速率比在无菌水中快得多。
以丁酸乙酯为起始原料制得中间体取代的环丙酰氯与以对氯苯乙酮为起始原料制备的取代苄胺反应,即得环丙酰菌胺。

