10453-86-8
中文名称
苄蚨菊酯
英文名称
RESMETHRIN
CAS
10453-86-8
分子式
C22H26O3
分子量
338.44
MOL 文件
10453-86-8.mol
更新日期
2024/08/01 09:41:25
10453-86-8 结构式
基本信息
中文别名
卞呋菊酯苄呋菊脂
苄呋菊酯
苄蚨菊酯
右旋苄呋菊酯
正己烷中苄呋菊酯
苄呋菊酯 标准品
乙腈中苄呋菊酯溶液,100ΜG/ML
2,2-二甲基-3-(2-甲基-1-丙烯基)-(5-苄基-3-呋喃)甲基环丙甲酸酯
(1R,S)-顺,反式-2,2-二甲基-3-(2-甲基-1-丙烯基)环丙烷羧酸-5-苄基-3-呋喃甲基酯
英文别名
Secoari-b
Syntox
xylate
For-syn
Vectrin
CHRYSON
Scourge
OMS-1206
Premgard
所属类别
化学农药原药:拟除虫菊脂杀虫剂物理化学性质
外观性状纯品为白色晶体,工业品为白色至浅黄色蜡状固体,有显著的除虫菊的气味。蒸汽压3.47×102Pa(200℃),比密度d200.958-0.968,熔点43-48℃,不溶于水,能溶于大多数有机溶剂。
熔点56.5℃
沸点bp >180° (dec)
密度0.96 g/cm3
蒸气压﹤l×10-5 Pa (25 °C)
折射率1.5287 (20℃)
闪点closed cup: 264.2°F (129°C)
储存条件0-6°C
溶解度Chloroform (Slightly), Methanol (Slightly, Heated)
水溶解性0.038 mg l-1 (25 °C)
形态neat
BRN1626510
主要应用agriculture
environmental
environmental
化妆品成分功效ANTIMICROBIAL
InChI1S/C22H26O3/c1-15(2)10-19-20(22(19,3)4)21(23)25-14-17-12-18(24-13-17)11-16-8-6-5-7-9-16/h5-10,12-13,19-20H,11,14H2,1-4H3
InChIKeyVEMKTZHHVJILDY-UHFFFAOYSA-N
SMILESC\C(C)=C\C1C(C(=O)OCc2coc(Cc3ccccc3)c2)C1(C)C
EPA化学物质信息Resmethrin (10453-86-8)
安全数据
警示词警告
危险性描述H302-H410
危险品标志Xn,N
危险类别码22-50/53
安全说明60/61-61-60
危险品运输编号3082
WGK Germany3
RTECS号GZ1310000
危险等级9
包装类别III
海关编码29321900
存储类别11 - Combustible Solids
危险性类别Acute Tox. 4 Oral
Aquatic Acute 1
Aquatic Chronic 1
Aquatic Acute 1
Aquatic Chronic 1
毒性LC50 (96 hr) in rainbow trout, bluegill sunfish (mg/l): 3.14, 7.2 (Rand)
应用领域
用途1
有强烈的触杀作用,杀虫非常高效,对家蝇的毒力比除虫菊素高2.5倍;对淡色库蚊的毒力,比丙烯菊酯约高3倍;对德国小蠊的毒力,比胺菊酯约高6倍。且对哺乳动物的毒性,比除虫菊素低。适用于家庭、畜舍、仓库等场地的蚊、蝇、蟑螂等卫生害虫的防治。常见问题列表
概述
苄呋菊酯(resmethrin),试验代号 FMC17370、NRDC104、NRDC119、OMS1206、OMS1800、 SBPI382。商品名称Chrysron、Termout、灭虫菊。杀虫活性首次由M.Elliott等报道,先后被FMC Corp.、Penick Corp.和Sumitomo Chemical Co.,Ltd.等公司引入开发。它为两个异构体的混合物,其中含20%~30%(1RS)-顺-异构体和80%~70%(1RS)-反 异构体。工业品两异构体总含量84.5%。
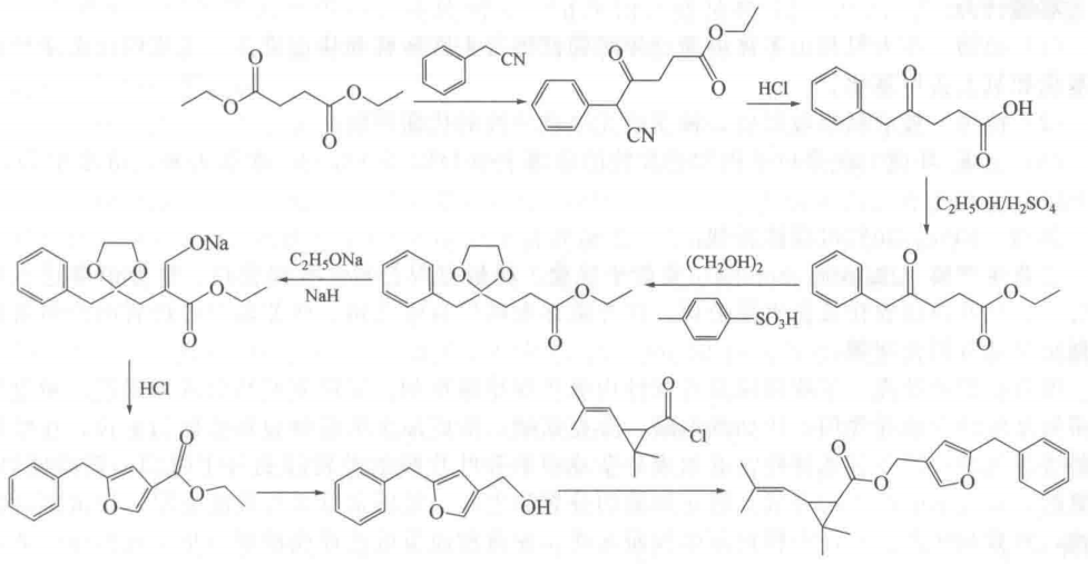
合成方法
苄呋菊酯是以丁二酸二乙酯为原料制备的。其化学合成途径如下图所示:
作用机理
苄呋菊酯通过作用于钠离子通道来干扰神经作用。有强烈触杀作用,杀虫谱广,杀 虫活性高,例如,对家蝇的毒力比除虫菊素高约2.4倍,对淡色库蚊的毒力比丙烯菊酯高约3 倍。对哺乳动物的毒性比除虫菊酯低,但对天然除虫菊素有效地增效剂对这些化合物则无效。

