114736-25-3
中文名称
4,4-二甲氧基-2-丁烯酸乙酯
英文名称
2-Butenoic acid, 4,4-
CAS
114736-25-3
分子式
C8H14O4
分子量
174.19
MOL 文件
114736-25-3.mol
更新日期
2025/11/18 16:56:48
114736-25-3 结构式
基本信息
中文别名
氨基膦酸氨基膦酸杂质5
米诺磷酸杂质3
米诺磷酸杂质17
4-二甲氧基-2-丁烯酸乙酯
4,4-二甲氧基-2-丁烯酸乙酯
4,4-二甲氧基-丁-2-烯酸乙基酯
乙基 4,4-二甲氧基丁-2-烯酸酯
(E)-4,4-二甲氧基-2-...
(E)-4,4-二甲氧基-2-丁酸乙酯
英文别名
Minodronic Impurity 62-Butenoic acid, 4,4-
Minodronic Acid Impurity 17
ethyl 4,4-diMethoxybut-2-enoate
Ethyl(E)-4,4-dimethoxybut-2-enoate
Ethyl (E)-4,4-dimethoxy-2-butenoate
(E)-Ethyl 4,4-DiMethoxybut-2-enoate
2-Butenoic acid, 4,4-diMethoxy-, ethyl ester
(E)-4,4-Dimethoxy-2-butenoic acid ethyl ester
(2E)-4,4-Dimethoxybut-2-enoic acid ethyl ester
所属类别
化学试剂:乙酯类化合物常见问题列表
概述
米诺膦酸(Minodronate),化学名为1‑羟基‑2‑[(咪唑并[1,2‑a]吡啶‑3‑基]亚乙基‑1,1‑二膦酸,是由日本山之内公司开发的新型杂环双膦酸类化合物,用于治疗由骨质疏松症和恶性肿瘤引起的高钙血症,其抑制骨吸收活性分别是英卡膦酸二钠、阿仑膦酸钠和帕米膦酸二钠的2倍、10倍和100倍。本品在脊柱骨折发生率方面有显著获益,同时在肠胃副作用方面有很大的减少,现在已确定为有效的抗骨质疏松的新药物,预防骨折。该药品的研制开发无疑将为临床疾病患者提供一种更安全、有效、方便的治疗药物,上市后必将产生良好的社会效益和经济效益。应用
米诺磷酸杂质3是米诺膦酸合成过程中产生的杂质吧米诺膦酸的合成中间体,与对甲苯磺酸和2‑氨基吡啶反应可制备2‑(咪唑并[1,2‑a]吡啶‑3‑基)乙酸乙酯。制备

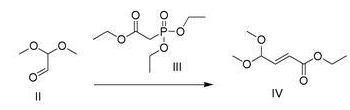
(E)?4,4?二甲氧基?2?丁烯酸乙酯(米诺磷酸杂质3)的制备:在四口瓶中加入120g2,2?甲氧基乙醛和4L环己烷,搅拌下加入900g无水碳酸钾,搅拌1h。滴加500mL膦酰基乙酸三乙酯,反应6h。反应结束,向反应液中加入1.5L水,分液,有机相用饱和食盐水洗,无水硫酸钠干燥,减压蒸除溶剂,得无色油状液体,将油状液体减压蒸馏,得无色油状物米诺磷酸杂质3150g,收率71%。
