返回ChemicalBook首页>CAS数据库列表>1206604-29-6

1206604-29-6

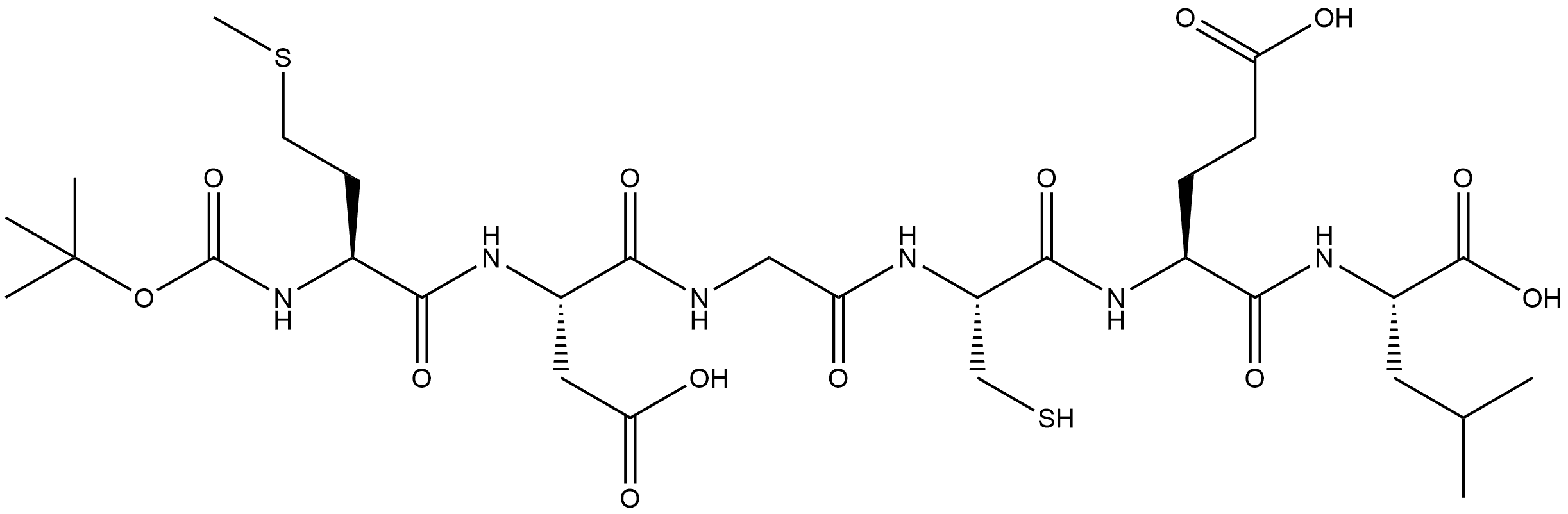
英文名称 N-[(1,1-Dimethylethoxy)carbonyl]-L-methionyl-L-α-aspartylglycyl-L-cysteinyl-L-α-glutamyl-L-leucine
CAS 1206604-29-6
分子式 C30H50N6O13S2
分子量 766.88
MOL 文件 1206604-29-6.mol
1206604-29-6 结构式 1206604-29-6 结构式

基本信息

英文别名
N-[(1,1-Dimethylethoxy)carbonyl]-L-methionyl-L-α-aspartylglycyl-L-cysteinyl-L-α-glutamyl-L-leucine

物理化学性质

沸点1185.1±65.0 °C(Predicted)
密度1.322±0.06 g/cm3(Temp: 20 °C; Press: 760 Torr)(Predicted)
酸度系数(pKa)3.34±0.10(Predicted)
形态Solid
颜色White to off-white
序列{t-Boc}-Met-Asp-Gly-Cys-Glu-Leu

常见问题列表

概述
Box5 是一种有效的 Wnt5a 拮抗剂。Box5 抑制 Wnt5a 信号并抑制 Wnt5a 介导的 Ca2+ 释放。Box5 抑制细胞迁移。Box5 具有黑色素瘤研究的潜力。
"1206604-29-6" 相关产品信息