125225-28-7
中文名称
种菌唑标准品
英文名称
IPCONAZOLE
CAS
125225-28-7
分子式
C18H24ClN3O
分子量
333.861
MOL 文件
125225-28-7.mol
更新日期
2025/07/15 17:12:43
125225-28-7 结构式
基本信息
中文别名
种菌唑依康唑
环戊唑醇
种菌唑标准品
甲醇中种菌唑溶液,100ΜG/ML
IPCONAZOLE SOLUTION
IPCONAZOLE@1000 ΜG/ML IN ACETONITRILE
种菌唑标准品/2-((4氯苯基)甲基)-5 -(1-甲基乙基)-1- (1H-1,2,4-三唑-1-甲基)环戊醇
英文别名
knf-317Ipcozole
IPCONAZOLE
Ipconazole [iso]
Ipconazole Solution
IPCONAZOLE STANDARD
ipconazole (bsi, pa e-iso)
Ipconazole@100 μg/mL in Acetonitrile
Ipconazole@1000 μg/mL in Acetonitrile
Ipconazole Solution in Methanol, 100μg/mL
所属类别
化学农药原药:杀菌剂物理化学性质
熔点86~92℃
沸点486.0±41.0 °C(Predicted)
密度1.24±0.1 g/cm3(Predicted)
蒸气压3.58 x l0-6 Pa (isomer pair I);
6.99 x l0-6Pa (isomer pair 11) (25 °C)
水溶解性6.93 mg l-1 (20 °C)
酸度系数(pKa)13.76±0.60(Predicted)
形态powder
颜色white to off-white
InChIInChI=1S/C18H24ClN3O/c1-13(2)17-8-5-15(9-14-3-6-16(19)7-4-14)18(17,23)10-22-12-20-11-21-22/h3-4,6-7,11-13,15,17,23H,5,8-10H2,1-2H3
InChIKeyQTYCMDBMOLSEAM-UHFFFAOYSA-N
SMILESCC(C)C1CCC(C1(CN2C=NC=N2)O)CC3=CC=C(C=C3)Cl
EPA化学物质信息Ipconazole (125225-28-7)
安全数据
警示词危险
危险性描述H302-H360D-H373-H410
WGK GermanyWGK 3
海关编码29339900
存储类别6.1C - Combustible acute toxic Cat.3
toxic compounds or compounds which causing chronic effects
toxic compounds or compounds which causing chronic effects
危险性类别Acute Tox. 4 Oral
Aquatic Acute 1
Aquatic Chronic 1
Repr. 1B
STOT RE 2
Aquatic Acute 1
Aquatic Chronic 1
Repr. 1B
STOT RE 2
常见问题列表
概述
种菌唑(Ieonpazole),为日本吴羽化学公司于20世纪90年代初,开发的新款三唑类杀菌剂,种菌唑为广谱性系统杀菌剂,具有内吸传导和触杀保护活性的效果,具有使用剂量低、活性高、对单子叶和双子作物均安全等特点,兼具内吸、保护及治疗作用。种菌唑原药有较高的准确度和精密度,线性关系良好,具有简便、快速、准确及分离效果好等优点。广泛用于控制水稻和其他作物的种子病害,对水稻恶苗病、胡麻斑病和稻瘟病有较好的防治效果。理化性质
颜 色:种菌唑原药纯品为白色结晶熔 点: 88~90℃
密 度: 1.326~1.369(20 ℃)
蒸气压:3.58X10-6 Pa(1RS,2SR,5SR),6.99X10-6(1SR,2SR,5SR)
分配系数:(20℃) POW=l.76X104(logP = 4.24)
水中溶解度:为6.93 mg/L(20℃)
叶菌唑的纯品(顺和反式混合物)
颜 色:白色结晶
熔 点:110~113 ℃ (工业原药100.0~108.4 ℃)
沸 点:沸点约285 ℃
密 度:1.307( 20 ℃)
蒸气压:1.23X10-5 Pa(20 ℃)
分配系数:(20 ℃) POW=7.08X103(logP=3.85)
溶解度(20 ℃,mg/L)为:水15,甲醇235、丙酮238.9
热稳定:对热稳定性高,不易水解
毒性
种菌唑对雄大鼠急性经口LD50为1338mg/kg;对大鼠急性经皮LD50>2000 mg/kg,对兔眼睛与皮肤无刺激。Ames试验为阴性。对鲤鱼LD50(48h)为2.5 mg/L,对鸟类、蜜蜂,蚯蚓等均安全。叶菌唑对雄大鼠急性经口LD50为1459 mg/kg;对大鼠急性经皮LD50>2000 mg/kg。大鼠吸人毒性LD50(4h)>1.4 mg/L。对兔皮肤无刺激,对兔眼睛有轻微刺激。Ames试验为阴性。鹤鹑急性经口DL50为790 mg/kg。虹鳟LD50(96h)2.~4.0、鲤鱼3.99 mg/L;对蚯蚓无毒;对水蚤比LD50(48h)为3,6~4.4 mg/L。降解
种菌唑系通过种子处理由根部向茎叶部渗透,其分解缓慢,但在水稻可食部(米粒)中无残留。叶菌唑系以茎叶处理达到防治病害目的。它不会由茎叶部向谷粒处渗透。此两药剂的土壤渗沥性均较小,经在农田试验确认,无不良影响。环境安全
对于种菌唑,因为其批准中包含在种子处理上的使用,所以须采取适当的措施来保护工人、施药者、食谷性鸟和鱼类的安全。需提交的确认信息包括:对食谷类鸟类长期风险的可接受性,以及对土壤生物风险的可接受性。在欧盟的异构体评估指南被采用之后,还应在两年内就种菌唑对映选择性代谢物或降解物的风险提交进一步数据,而在OECD/欧盟内分泌干扰物检测指南被采用之后,应在两年内提交对种菌唑对鸟类和鱼类潜在内分泌干扰作用的数据。Kureha公司和美国科聚亚公司拥有种菌唑的全球性商业交易运作,而后者则依靠着三井农药株式会社的附属的分销公司Certis(欧洲)将种菌唑产品分销到欧盟的国家中去。检测
高效液相色谱,本方法检测种菌唑原药有较高的准确度和精密度,线性关系良好,具有简便、快速、准确及分离效果好的优点是一种可行的分析方法。合成方法
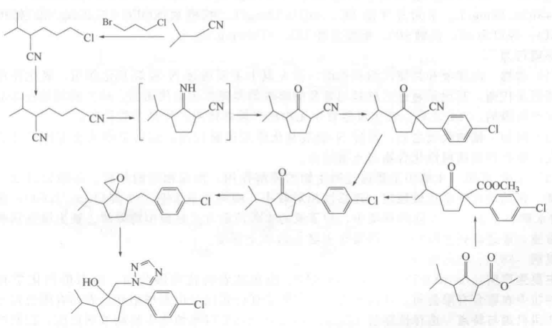
以3-甲基丁腈等为起始原料,经如下多步反应,处理即得种菌唑。反应式如下:

参考文献
[1]邬柏春,冯化成.三唑类杀菌剂种菌唑和叶菌唑[J].世界药,2001,03:52-53.[2]顶新. 种子处理剂新产品:顶苗新[J]. 农村百事通,2016,01:48.
[3]闫艺舟.四种新有效成分通过欧盟批准[J].农药科学理,2014,10:42.
[4]李岩,史娜,王胜翔.种菌唑原药的高效液相色谱分析方法研究[J]. 农药科学与管理,2010,12:37-39.


