130561-48-7
中文名称
津奥啉
英文名称
cintofen
CAS
130561-48-7
分子式
C18H15ClN2O5
分子量
374.78
MOL 文件
130561-48-7.mol
更新日期
2026/03/20 16:57:51
130561-48-7 结构式
基本信息
中文别名
杀雄啉津奥啉
1-(4-氯苯基)-1,4-二氢-5-(2-甲氧乙氧基)-4-酮噌啉-3-羧酸
英文别名
AcholSC 2052
Croisor
cintofen
Sintofen
Sintofen [iso]
1-(4-Chlorophenyl)-5-(2-methoxyethoxy)-4-oxo-1,4-dihydrocinnoline-3-carboxylicacid
1-(4-Chlorophenyl)-1,4-dihydro-5-(2-methoxyethoxy)-4-oxo-3-cinnolinecarboxylic acid
3-Cinnolinecarboxylic acid, 1-(4-chlorophenyl)-1,4-dihydro-5-(2-methoxyethoxy)-4-oxo-
1-(4-chlorophenyl)-1,4-dihydro-5-(2-methoxy ethoxyl)-4-oxocinnoline-3-carboxylic acid
物理化学性质
外观性状原药为黄白色粉末,略有气味。m.p.260~263℃,相对密度0.06,微溶于水和大多数有机溶剂,可溶于氢氧化钠溶液。
沸点589.5±60.0 °C(Predicted)
密度1.41±0.1 g/cm3(Predicted)
酸度系数(pKa)0.16±0.20(Predicted)
应用领域
用途1
苯并哒嗪类植物生长调节剂。主要用作杀雄剂,能阻滞禾谷类作物花粉发育,使之失去授精能力而自交不实,从而可进行异花授粉,获取杂交种子。用于小麦及其他小粒谷物在花粉形成前,绒毡层细胞是为小孢子发育提供营养的组织,药剂能抑制孢粉质前体化合物的形成,使单核阶段小孢子的发育受到抑制。药剂由叶片吸收,并主要向上传输,大部分存在于穗状花序及地上部分,根部及分蘖部分极少。湿度大时,利于吸收。在春小麦幼穗长到0.6~1cm,即处于雌雄蕊原基化化至药隔分化期之间,用33%水剂0.7kg有效成分/hm2 ,加软化水250~300kg均匀喷雾,小麦叶面雾化均匀不得见水滴,雄性相对不育率达98%以上,自然异交结实率65%,杂交种纯度达97%以上,而且副作物小。冬小麦适宜在药隔期施药,小穗长0.55~1cm,用药量同春小麦。制备方法
方法1
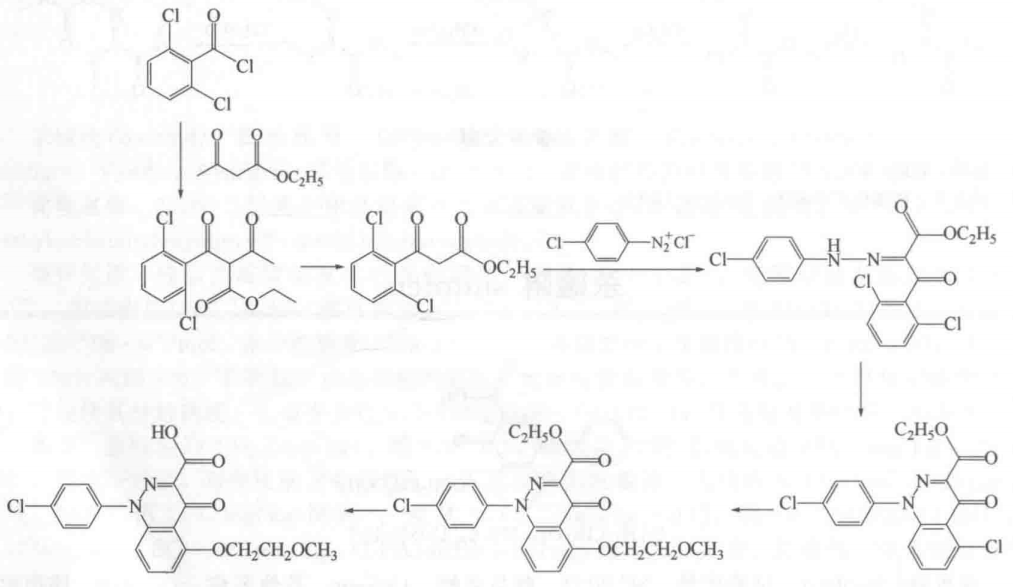
2,6-二氯苯甲酰甲酰基乙酰乙酸乙酯(以下简称三酮) 的制备 加入80mL溶剂、19.0g氯化镁、26.0g乙酰乙酸乙酯,在5℃以下滴加70mL吡啶,室温下搅拌30min,加入含42.0g 2,6-二氯苯甲酰氯和100mL溶剂的溶液,回流反应4h。冷却后滴加浓硫酸,再加入溶剂和水,搅拌,静置,有机层水洗,减压脱溶,得产物约53.0g。2,6-二氯苯甲酰基乙酸乙酯(以下简称二酮)的制备 加入180mL溶剂,29.0g醋酸钾,50mL醋酸,pH值达到6.5。将上述缓冲溶液加入到上步反应制备的粗三酮中,回流反应20h,脱溶,加入甲苯和水,搅拌、分液、水洗甲苯层,减压脱溶,得产物约40.0g。
3-(2,6-二氯苯基)-2,3-二氧丙酸乙酯-2-(4-氯苯基)脘的制备 将对氯苯胺的重氮盐溶液加入到含112g醋酸钾和150g二酮的乙醇溶液中,于30℃反应10h,过滤、水洗、干燥得产物160g左右。
1-(4'-氯苯基)-5-氯-1,4-二氢-4-氧噌啉-3-甲酸的制备 加入400mL溶剂、第3步合成的产品、70.0g无水碳酸钾、2.0g相转移催化剂(如四丁基溴化胺),回流脱水2~4h,脱溶,加水400mL,搅拌下加热到50℃,浓盐酸中和到pH值2左右,过滤,水洗,烘干得到环合产物约120g。
然后将闭环物120g、二氧六环500mL、浓盐酸80mL,加热回流4h后,加水、冷却,过滤,滤饼水洗,烘干后得环合水解物约106g。
杀雄啉的合成 加入乙二醇单甲醚400mL,氢氧化钾67.0g,加热蒸出约20mL,再加入水解物110g,加热30min,减压蒸出乙二醇单甲醚200mL左右,加水,加热至溶液透时,倒入烧瓶中,加水600mL,搅匀后过滤,滤液用浓盐酸中和至pH=2,充分搅匀后过滤,水洗,干燥后得产品约107.0g。
常见问题列表
简介
杀雄啉(sintofen),试验代号SC2053。商品名称Croisor。其他名称cintofen、津奥啉, 是由Hybrinova S A(现Du Pont)开发的苯并哒嗪类小麦用杀雄剂。2o02年售予Saaten Union Recherche S A R L. 化学名称为1-(4-氯苯基)-1,4-二氢-5-(2-甲氧乙氧基)-4-酮赠啉-3-羧酸,1-(4-chlorophenyl) 1,4-dihydro-5-(2-methoxyethoxy)-4-oxocinnoline-3-carboxylic acid.
作用机理
杀雄啉能够促进谷类杂交。
合成方法
津奥啉以2,6-二氯苯甲酰氯、乙酰乙酸乙酯、对氯苯胺、乙二醇单甲醚为原料,经如下
反应即得目的物:
毒性
大鼠急性经口LD50>5000mg/kg。大鼠急性经皮LD50>2000mg/kg。大鼠急性吸入 LC50(4h)>7.34mg/L。大鼠NOEL值(2y)12.6mg/(kg·d)。ADI值0.126mg/kg。

