1417782-03-6
中文名称
氯氟醚菌唑
英文名称
Mefentrifluconazole
CAS
1417782-03-6
分子式
C18H15ClF3N3O2
分子量
397.78
MOL 文件
1417782-03-6.mol
更新日期
2025/11/21 10:18:22
1417782-03-6 结构式
基本信息
中文别名
氯氟醚菌唑2-(4-(4-氯苯氧基)-2-(三氟甲基)苯基)-1-(1H-1,2,4-三唑-1-基)丙-2-醇
英文别名
Mefentrifluconazole2-[4-(4-chlorophenoxy)-2-(trifluoromethyl)phenyl]-1-(1,2,4-triazol-1-yl)propan-2-ol
2-(4-(4-chlorophenoxy)-2-(trifluoromethyl)phenyl)-1-(1H-1,2,4-triazol-1-yl)propan-2-ol
1H-1,2,4-Triazole-1-ethanol, α-[4-(4-chlorophenoxy)-2-(trifluoromethyl)phenyl]-α-methyl-
(2RS)-2-[4-(4-chlorophenoxy)-2-(trifluoromethyl)phenyl]-1-(1H-1,2,4-triazol-1-yl)propan-2-ol: mefentrifluconazole
所属类别
化学农药原药:杀菌剂物理化学性质
沸点518.7±60.0 °C(Predicted)
密度1.37±0.1 g/cm3(Predicted)
酸度系数(pKa)12.68±0.29(Predicted)
形态Solid
颜色Off-white to light yellow
常见问题列表
三唑类杀菌剂
氯氟醚菌唑(mefentrifluconazole)是巴斯夫研发、上市的第1个新型异丙醇三唑类杀菌剂,填补了三唑类杀菌剂10余年无新品上市的空白(图1)。氯氟醚菌唑化学名称(2RS)-2-[4-(4-氯苯氧基)-α,α,α-三氟-邻甲基]-1-(1H-1,2,4-三唑-1-基)丙-2-醇;商品名Revysol;CAS登录号为[1417782-03-6];分子式为C18H15ClF3N3O2;相对分子质量为397.8。
与其他三唑类杀菌剂一样,氯氟醚菌唑亦为甾醇生物合成中C14-脱甲基化抑制剂。氯氟醚菌唑分子中独特的异丙醇基团,使其能够非常灵活地从游离态自由旋转与靶标结合成为结合态,抑制壳针孢菌的转移,减少病菌突变,延缓抗性的产生和发展。灵活多变的空间形态使得氯氟醚菌唑对多种抗性菌株始终保持高效,是优秀的抗性管理工具。
氯氟醚菌唑表现出优异的生物性能,其广谱、高效,具有内吸传导性,兼具保护、治疗、铲除作用,速效、持效。其还可防控许多难以防治的真菌性病害,如锈病及壳针孢菌引起的病害等。氯氟醚菌唑适用于大田作物、经济作物和特种作物等世界范围内的60多种作物,如玉米、谷物、大豆、水稻等大田作物,以及青椒、葡萄等经济作物,并将应用于草坪和观赏植物等。氯氟醚菌唑将帮助全球种植户提升作物活力,提高作物产量和品质。氯氟醚菌唑既可叶面喷雾,也能用于种子处理。相对于其他三唑类杀菌剂,氯氟醚菌唑不仅活性更高,而且拥有较好的环境特性,其对哺乳动物、蜜蜂等毒性较低,安全性较高。
2016年起,巴斯夫陆续向欧盟、美国、加拿大、墨西哥、巴西等国家和地区申请登记氯氟醚菌唑。2018年,氯氟醚菌唑在韩国取得登记,并率先上市。
市场情况
氯氟醚菌唑自2018年在韩国首获登记,随后在哥伦比亚、欧盟、美国、澳大利亚、加拿大、英国等国家取得登记。2012年7月12日,巴斯夫农业公司在我国申请了氯氟醚菌唑的化合物专利。其授权公告号为:CN103649057B;发明名称:杀真菌的取代的2-[2-卤代烷基-4-苯氧基苯基]-1-[1,2,4]-三唑-1-基乙醇化合物。该专利将于2032年7月11日到期,其在欧洲(EP2731935B1)等地的化合物专利也将于2032年7月到期。2020年1月7日,巴斯夫欧洲公司在我国登记了基于氯氟醚菌唑的4个产品:97%氯氟醚菌唑原药(低毒)、400 g/L氯氟醚菌唑SC(低毒)、400 g/L氯氟醚·吡唑醚酯SC(低毒;200 g/L氯氟醚菌唑+200 g/L吡唑醚菌酯)、240 g/L氯氟醚·吡唑酯EC(低毒;100 g/L氯氟醚菌唑+140 g/L吡唑醚菌酯)。
2020年5月,巴斯夫正式在中国上市跨时代杀菌剂锐收系列的首款产品锐收®果香。本次上市会采用线上发布会的形式,吸引了来自全国各地客户的关注。由代表巴斯夫创新科技的氯氟醚菌唑(商品名: 锐收)与巴斯夫值得信赖的吡唑醚菌酯复配而成的锐收®果香,将以创新的方式帮助中国种植者收获更多更具市场价值的作物。
合成方法
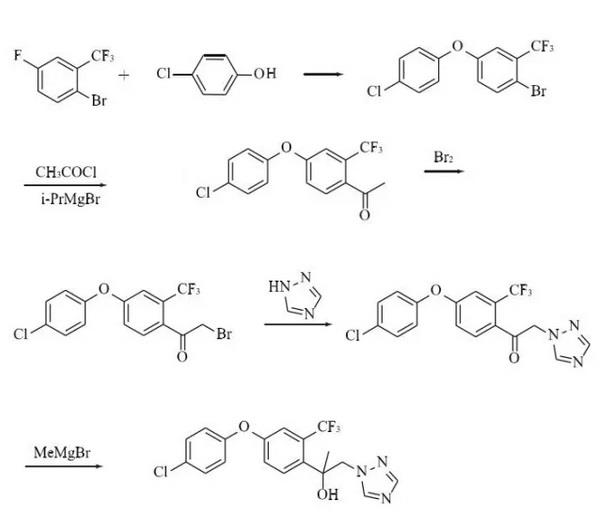
合成路线1:由4-氟-2-三氟甲基苯乙酮与4-氯苯酚在碱性条件下发生取代反应生成1-[4-(4-氯苯氧基)-2-三氟甲基苯基]乙酮,再与三甲基锍碘化物或三甲基锍甲基硫酸盐发生环氧化反应,生成2-[4-(4-氯苯氧基)-2-三氟甲基苯基]-2-甲基环氧乙烷,与1,2,4-三氮唑在碱性条件下发生开环反应得到氯氟醚菌唑。合成路线2:由1-溴-4-氟-2-三氟甲基苯在碱性条件下与4-氯苯酚发生取代反应,生成1-溴-4-(4-氯苯氧基)-2-三氟甲基苯,在异丙基氯化镁或氯化锂作用下,与乙酰氯发生反应,生成1-[4-(4-氯苯氧基)-2-三氟甲基苯基]乙酮,再与液溴发生取代反应,生成2-溴-1-[4-(4-氯苯氧基)-2-三氟甲基苯基]乙酮,然后与1,2,4-三氮唑在氢化钠作用下发生取代反应,生成1-[4-(4-氯苯氧基)-2-三氟甲基苯基]-2-[1,2,4]-三唑-1-基乙酮,再与甲基溴化镁发生格氏反应,得到氯氟醚菌唑。

合成路线3:由4-溴-2-三氟甲基碘苯与异丙基氯化镁生成格氏试剂,与乙酰氯反应生成4-溴-2-三氟甲基苯乙酮,再与三甲基锍碘化物反应生成2-(4-溴-2-三氟甲基苯基)-2-甲基环氧乙烷,与1,2,4-三氮唑在碱性条件下发生开环反应,生成1-(4-溴-2-三氟甲基苯基)-1-甲基-2-(1,2,4-三唑-1-基)乙醇,再与双(频哪醇合)二硼发生反应得到1-[2-氯-4-(4,4,5,5-四甲基-1,3,2-二氧杂硼杂戊环)-2-基]-1-甲基-2-(1,2,4-三唑-1-基)乙醇,加入双氧水氧化得到3-三氟甲基-4-[1-甲基-1-羟基-2-(1,2,4-三唑-1-基)乙基]苯酚,最后在碱性条件下与4-氯氟苯发生醚化反应,生成氯氟醚菌唑。
