返回ChemicalBook首页>CAS数据库列表>2169723-90-2

2169723-90-2

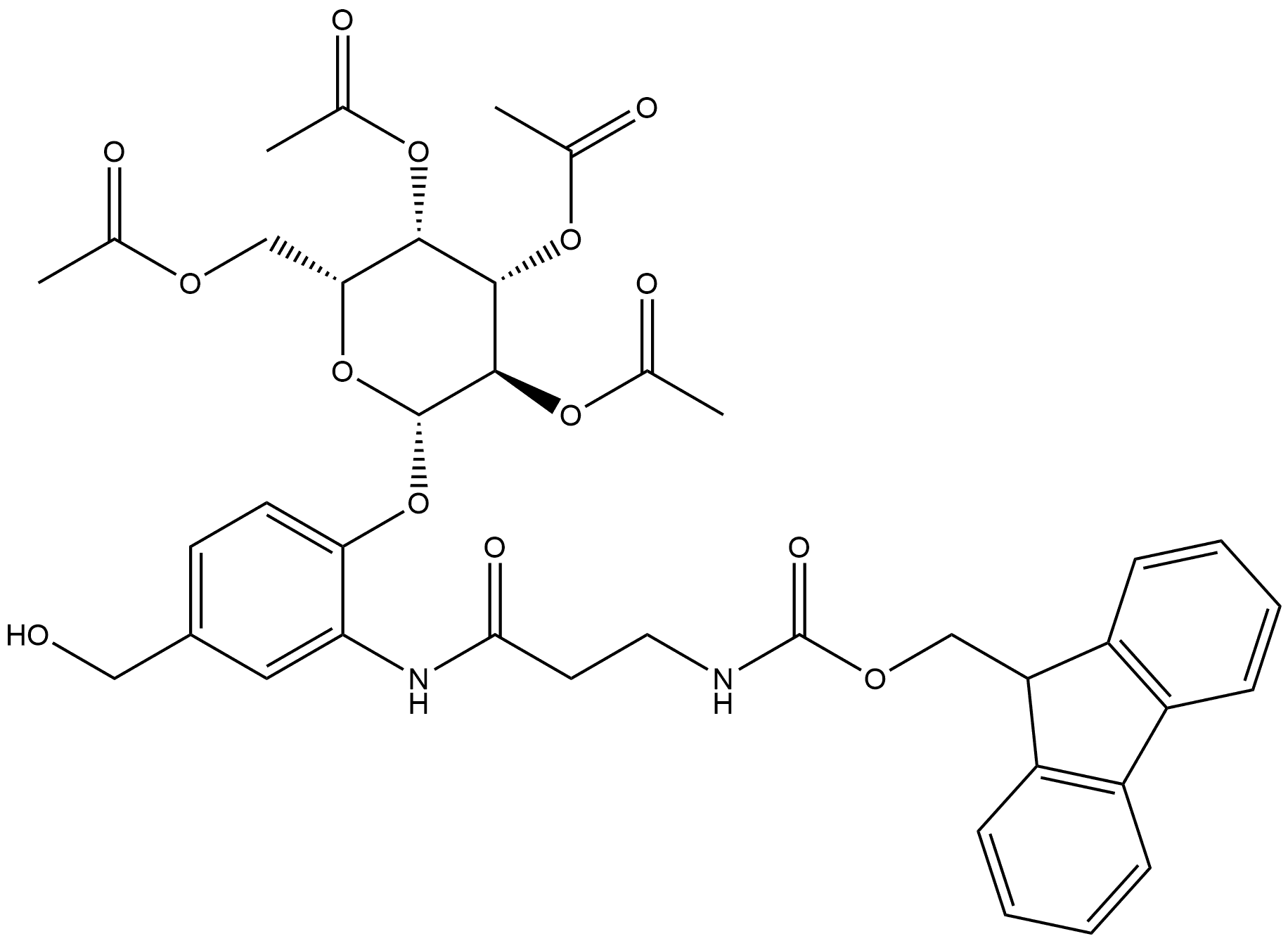
英文名称 Carbamic acid, N-[3-[[5-(hydroxymethyl)-2-[(2,3,4,6-tetra-O-acetyl-β-D-galactopyranosyl)oxy]phenyl]amino]-3-oxopropyl]-, 9H-fluoren-9-ylmethyl ester
CAS 2169723-90-2
分子式 C39H42N2O14
分子量 762.76
MOL 文件 2169723-90-2.mol
2169723-90-2 结构式 2169723-90-2 结构式

基本信息

英文别名
Carbamic acid, N-[3-[[5-(hydroxymethyl)-2-[(2,3,4,6-tetra-O-acetyl-β-D-galactopyranosyl)oxy]phenyl]amino]-3-oxopropyl]-, 9H-fluoren-9-ylmethyl ester

物理化学性质

沸点882.7±65.0 °C(Predicted)
密度1.39±0.1 g/cm3(Predicted)
酸度系数(pKa)11.63±0.46(Predicted)

常见问题列表

概述
Tetra-O-acetyl-β-D-galactopyranosyl-Ph-CH2OH-Fmoc 可作为共轭物来制备抗体-药物偶联物 (ADC)。
"2169723-90-2" 相关产品信息