581809-46-3
中文名称
联苯吡菌胺
英文名称
Bixafen|
CAS
581809-46-3
分子式
C18H12Cl2F3N3O
分子量
414.209
MOL 文件
581809-46-3.mol
更新日期
2026/05/08 11:15:06
581809-46-3 结构式
基本信息
中文别名
联苯吡菌胺BIXAFEN@1000 ΜG/ML IN ACETONITRILE
N-(3′,4′-二氯-5-氟二苯-2-基)-3-(二氟甲基)-1-甲基吡唑-4-甲酰胺
英文别名
Bixafen@1000 μg/mL in AcetonitrileBixafen Standard@100 μg/mL in Acetonitrile
N-(3',4'-dichloro-5-fluorobiphenyl-2-yl)-3-(difluoromethyl)-...
N-(3',4'-dichloro-5-fluorobiphenyl-2-yl)-3-(difluoromethyl)-1-methyl-1H-pyrazole-4-carboxamide
N-(3',4'-Dichloro-5-fluoro-1,1'-biphenyl-2-yl)-3-(difluoromethyl)-1-methyl-1H-pyrazole-4-carboxamide
1H-Pyrazole-4-carboxamide, N-(3',4'-dichloro-5-fluoro[1,1'-biphenyl]-2-yl)-3-(difluoromethyl)-1-methyl-
所属类别
分析化学:农残、兽药及化肥类物理化学性质
沸点474.7±45.0 °C(Predicted)
密度1.47±0.1 g/cm3(Predicted)
储存条件2-8°C
溶解度soluble in No data available
酸度系数(pKa)10.82±0.70(Predicted)
形态neat
主要应用agriculture
environmental
environmental
InChI1S/C18H12Cl2F3N3O/c1-26-8-12(16(25-26)17(22)23)18(27)24-15-5-3-10(21)7-11(15)9-2-4-13(19)14(20)6-9/h2-8,17H,1H3,(H,24,27)
InChIKeyLDLMOOXUCMHBMZ-UHFFFAOYSA-N
SMILESCn1cc(C(=O)Nc2ccc(F)cc2-c3ccc(Cl)c(Cl)c3)c(n1)C(F)F
LogP3.390 (est)
常见问题列表
概述
联苯吡菌胺,英文通用名:bixafen,中文化学名:N-(3',4'-二氯-5-氟联苯基-2-基)-3-(二氟甲基)-1-甲基吡唑-4-酰胺。由拜耳作物科学公司开发的吡唑酰胺类杀菌剂,开发代号为:BYF 00587。是目前增长最快的琥珀酸脱氢酶抑制剂(SDHI)类杀菌剂中的重要成员。 2006年公开,2010年首登,2011年上市,拜耳公司生产。化学性质
联苯吡菌胺为白色粉末,熔点142.9℃,蒸气压4.6×103mPa(20℃),K .. lgP =3.3(20℃),相对密度1.51(20℃),水中溶解度0.49mg/L(pH 7,20℃)。对光和水稳定(pH4~9)。
适用范围
联苯吡菌胺为内吸性杀菌剂,具有广泛的杀菌谱,专用于叶面喷雾。可有效防治谷类作物上由子囊菌、担子菌和半知菌引起的重要病害。试验证明,联苯吡菌胺对麦类作物上的诸多病害展现了优良防效,如小麦叶枯病(Septoriatritici)、叶锈病(Puccinia triticina)、条锈病(Pucciniastriiformis)、眼斑病(Oculimacula spp.)和黄斑病(Pyrenophoratritici-repentis)等,以及大麦网斑病(Pyrenophora teres)、柱隔孢叶斑病(Ramulariacollo-cygni)、云纹病(Rhynchosporium secalis)和叶锈病(Pucciniahordei)等,并能防治对甲氧基丙烯酸酯类杀菌剂产生抗性的壳针孢属病原菌引起的叶斑病(Septoria tritici)等。 据报道,联苯吡菌胺对大麦网斑病、苹果白粉病有很好的治疗和保护效果;其与丙硫菌唑的复配产品对壳针孢菌(Septoria spp.)引起的病害具有非常好的活性。作用机制
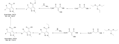
联苯吡菌胺通过作用于细菌体内连接氧化磷酸化与电子传递的枢纽之一-琥珀酸脱氢酶(Succinatedehydrogenase,SDH),导致三羧酸循环(tricarboxylicacid cycle)障碍,阻碍其能量的代谢,进而抑制病原菌的生长,导致其死亡,从而达到防治病害的目的。联苯吡菌胺高效、广谱、持效、选择性强,具有优异的内吸传导性,兼收预防和治疗作用可抑制孢子发芽、菌丝生长和孢子形成。合成路线
与之前介绍的氟唑菌酰胺(Fluxapyroxad)类似,联苯吡菌胺的合成以中间体-A:1-甲基-3-二氟甲基-1H-吡唑-4-甲酸 与中间体-B: 3',4'-二氯-3-氟-联苯基-2-胺进行酰胺化得到。

毒性
大鼠急性经口LD50>5000mg/kg。大鼠经皮LD50>2000mg/kg。对大鼠皮肤和眼睛无刺激。对小鼠淋巴结没有潜在的致敏作用。大鼠吸入LC50>5.383mg/L。NOAEL[mg/(kg·d]:大鼠2,小鼠6.7。ADI(EC推荐值)0.02mg/ kg。
