82097-50-5
中文名称
醚苯磺隆
英文名称
Triasulfuron
CAS
82097-50-5
分子式
C14H16ClN5O5S
MDL 编号
MFCD00145436
分子量
401.83
MOL 文件
82097-50-5.mol
更新日期
2023/11/23 17:54:39
82097-50-5 结构式
基本信息
中文别名
3-(4-甲氧基-6-甲基-1,3,5-三嗪-2-基)-1-[2-(2-氯乙氧基苯基)磺酰脲醚苯磺隆
1-[2-(2-氯乙氧基)苯基磺酰基]-3-(4-甲氧基-6-甲基-1,3,5-三嗪-2-基)脲
琥珀,琥珀色
1-(2-(2-氯乙氧基)苯基磺酰基)-3-4-甲氧基-6-甲基-1,3,5-三嗪-2-基)脲
醚苯黄隆
英文别名
1-[2-(2-CHLOROETHOXY)PHENYLSULFONYL]-3-(4-METHOXY-6-METHYL)-(1,3,5-TRIAZIN-2-YL)UREA2-(2-chloroethoxy)-n-(((4-methoxy-6-methyl-1,3,5-triazin-2-yl)amino)carbonyl)benzenesulfonamide
AMBER(R)
cga-131036
Herbicide Safener Benoxacor
LOGRAN
LOGRAN(R)
N-(6-methoxy-4-methyl-1,3,5-triazin-2-yl-aminocarbonyl)-2-(2-chloroethoxy)-benzenesulfonamide
TRIASULFURON
1-(2-(2-chloroethoxy)phenylsulfonyl)-3-(4-methoxy-6-methyl-1,3,5-triazin-2-y
2-(2-chloroethoxy)-n-(((4-methoxy-6-methyl-1,3,5-triazin-2-benzenesulfonamid
yl)amino)carbonyl)-
2-(2-chloroethoxy)-N-(((4-methyoxy-6-methyl-1,3,5-triazin-2-yl)amino)carbonyl)benzensulfonamide
TRIASULFURON, 100MG, NEAT
TRIASULFURON PESTANAL, 250 MG
TRIASULFURON PESTANAL
triasulfuron (bsi,draft-iso)
TRIASULPHURON
TRISULFURON
triasulfuron 1-[2-(2-chloroethoxy)phenylsulfonyl]-3-(4-methoxy-6-methyl-1,3,5-triazin-2-yl)urea
所属类别
化学农药原药:其他除草剂物理化学性质
外观性状无色晶体。熔点186℃。微容于丙酮、二氧甲烷、环以酮、甲醇,微溶于一般有机溶剂。
熔点178°C
沸点150-260 °C
密度1.5218 (rough estimate)
蒸气压0Pa at 25℃
折射率1.5630 (estimate)
储存条件0-6°C
溶解度DMSO (Slightly), Methanol (Slightly, Heated)
酸度系数(pKa)4.34±0.10(Predicted)
形态neat
BRN7151883
主要应用agriculture
environmental
environmental
InChI1S/C14H16ClN5O5S/c1-9-16-12(19-14(17-9)24-2)18-13(21)20-26(22,23)11-6-4-3-5-10(11)25-8-7-15/h3-6H,7-8H2,1-2H3,(H2,16,17,18,19,20,21)
InChIKeyXOPFESVZMSQIKC-UHFFFAOYSA-N
SMILESCOc1nc(C)nc(NC(=O)NS(=O)(=O)c2ccccc2OCCCl)n1
LogP1.6-2.6 at 25℃ and pH5-9
解离常数4.64 at 20℃
EPA化学物质信息Triasulfuron (82097-50-5)
安全数据
常见问题列表
毒性
大(小)鼠急性经口 LD50>5000mg/kg,大鼠急性经皮LD50>2000mg/kg。对兔皮肤和眼睛无刺激,对豚鼠皮肤致敏。大鼠吸入LC50(4h)>5.18mg/L空气。大鼠NOEL[ mg/( kg·d)]:经口 14.5(90d),经皮100。ADI(EC)0.01mg/kg[2000],(EPA)cRfD 0.01mg/kg[1991]。
作用机理
支链氨基酸(ALS或AHAS)合成抑制剂。被根、叶吸收后,迅速转移到分生组织,在敏感作物体内能抑制缬氨酸、亮氨酸和异亮氨酸的生物合成而阻止细胞分裂,使敏感植物停止生长,在受药后1~3周内死亡。它的选择性来源于在作物体内快速地代谢。
应用
醚苯磺隆适宜作物小粒禾谷类作物如小麦、大麦等。其可防除一年生阔叶杂草和某些禾本科杂草如三色堇和猪殃殃等。
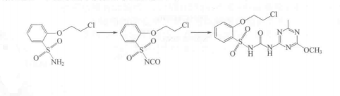
合成方法
邻氯乙氧基苯磺酰胺与光气反应制成相应的异氰酸酯,再与2-氨基-4-甲氧基-6-甲基均三嗪反应,即制得醚苯磺隆。反应式如下:

