endo-8-Methyl-8-azabicyclo[3.2.1]oct-3-yl-2-propylvalerat Chemische Eigenschaften,Einsatz,Produktion Methoden
Verwenden
Anisotropine inhibits secretion of digestive juices and restores normal stomach function.
It is used for treating stomach ulcers.
Synthese
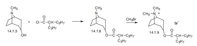
Anisotropine, the methylbromide of 2-propylpentanoyltropine (14.1.9),
is synthesized by the acidifying tropine (14.1.3) with 2-propylvalerianic acid, giving
the ester (14.1.8), and subsequent reaction with methylbromide to give anisotropine
(14.1.9) [11]

endo-8-Methyl-8-azabicyclo[3.2.1]oct-3-yl-2-propylvalerat Upstream-Materialien And Downstream Produkte
Upstream-Materialien
Downstream Produkte