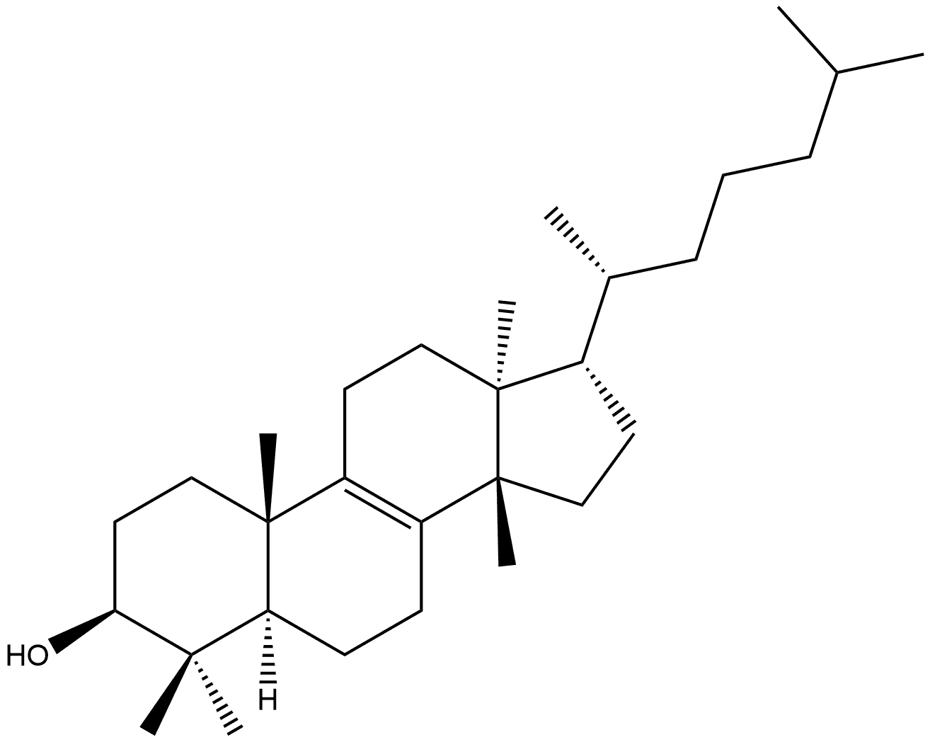
Dihydroeuphol

Dihydroeuphol Struktur
564-60-3
CAS-Nr.
564-60-3
Englisch Name:
Dihydroeuphol
Synonyma:
Dihydroeuphol;(3β,13α,14β,17α)-lanost-8-en-3-ol;Lanost-8-en-3-ol, (3β,13α,14β,17α)-
CBNumber:
CB46197902
Summenformel:
C30H52O
Molgewicht:
428.73
MOL-Datei:
564-60-3.mol

Dihydroeuphol Eigenschaften

Schmelzpunkt:
120 °C
Siedepunkt:
496.9±44.0 °C(Predicted)
Dichte
0.97±0.1 g/cm3(Predicted)
Aggregatzustand
A solid
pka
15.16±0.70(Predicted)

Sicherheit

Dihydroeuphol Chemische Eigenschaften,Einsatz,Produktion Methoden

Dihydroeuphol Upstream-Materialien And Downstream Produkte

Upstream-Materialien

Downstream Produkte


Dihydroeuphol Anbieter Lieferant Produzent Hersteller Vertrieb Händler.

Global( 14)Lieferanten
Firmenname Telefon E-Mail Land Produktkatalog Edge Rate
Aladdin Scientific

tp@aladdinsci.com United States 52923 58
BOC Sciences 1-631-485-4226; 16314854226
info@bocsci.com United States 12952 65
Shanghai Hongye Biotechnology Co. Ltd 400-9205774
sales@glpbio.cn China 6777 58
ChemeGen(Shanghai) Biotechnology Co.,Ltd. 18818260767
sales@chemegen.com China 11218 58
Meng Cheng Technology (Shanghai) Co., LTD 400-820-6829
sales@mitachieve.com China 8860 58
Shanghai Saikerui Biotechnology Co. , Ltd. 021-58000709 15900491054
info@scrbio.com China 9881 58
Shanghai Yifei Biotechnology Co. , Ltd. 021-65675885 18964387627
customer_service@efebio.com China 11973 58
Shanghai Weiyite Biotechnology Co., Ltd 15317051735
zhaojing@wytsci.com China 9980 58
Cayman Chemical Company 800-364-9897
sales@caymanchem.com China 6838 58
Biosynth Biological Technology (Suzhou) Co Ltd 51288865780
sales@biosynth.com China 6051 58

  • Dihydroeuphol
  • Lanost-8-en-3-ol, (3β,13α,14β,17α)-
  • (3β,13α,14β,17α)-lanost-8-en-3-ol
  • 564-60-3
Copyright 2019 © ChemicalBook. All rights reserved